排序
中华人民共和国国家职业卫生标准GBZ_T192.6-2018工作场所空气中粉尘测定第6部分_超细颗粒和细颗粒总数量浓度Determinationofdustintheairofworkplacespart6_Totalnumberconcentrationofultrafineandfineparticles
第1页 / 共11页第2页 / 共11页第3页 / 共11页试读已结束,还剩8页,您可下载完整版后进行离线阅读
华人民共和国国家职业卫生标准GBZ61-2015代替GBZ61-2002职业性牙酸蚀病的诊断Diagnosisofoccupationaldentalerosion
第1页 / 共5页第2页 / 共5页第3页 / 共5页试读已结束,还剩2页,您可下载完整版后进行离线阅读
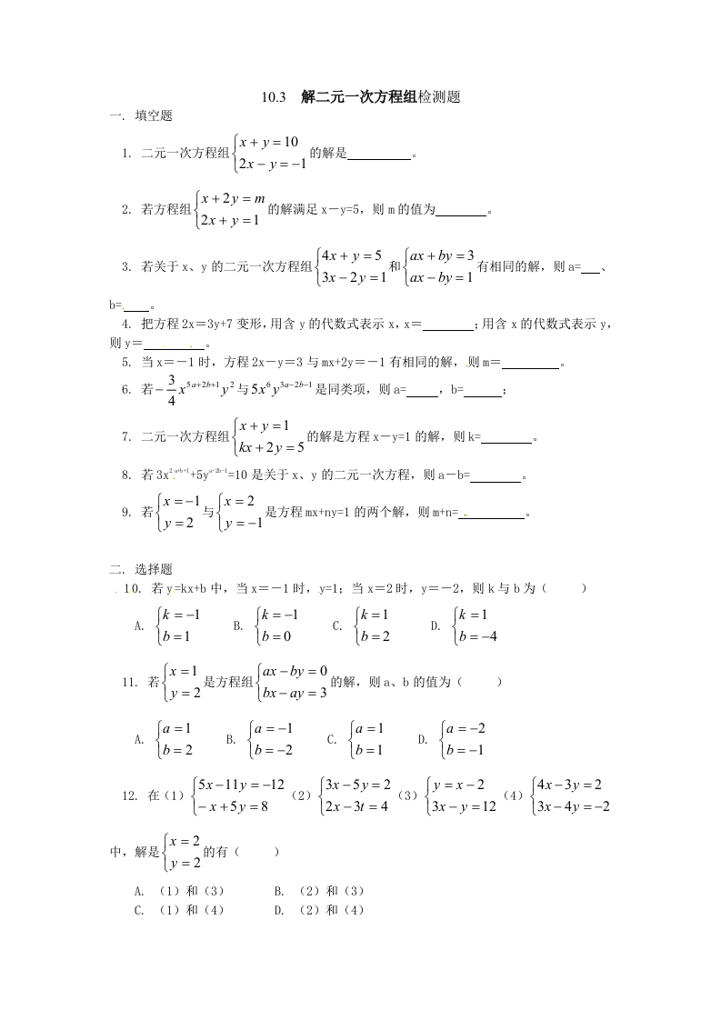
10.3《解二元一次方程组》同步测试1
10.3解二元一次方程组检测题一.填空题1.二元一次方程组x+y=10的解是」2x-y=-1x+2y=m2.若方程组的解满足x一y=5,则m的值为2x+y=14x+y=5 ax+by=33.若关于x、y的二元一次方程组和有相同的解,则a=一...
11-经典面试70问与回答
面试70问经典回答1、请你自我介绍一下你自己,回答提示:一般人回答这个问题过于平常,只说姓名、年龄、爱好、工作经验,这些在简历上都有,其实,企业最希望知道的是求职者能否胜任工作,包括...
人教版初三数学下册培优作业16
九年级下册数学培优作业16一、选择题题号1234561P910答案1.与抛物线y=-1x2+3x-5的形状大小开口方向相同,只有位置不同的抛物线是()2Ay=-2x2+2x35B.y=-x2-7x+842221C.y=5x2+6x+10D.y=-x2+3x-522....


气相色谱仪操作规程-8ea2a5bf1c-pdf-1.webp)





》课程教学大纲-c5ce4be7dc-pdf-1.webp)

