

第1页 / 共5页

第2页 / 共5页
试读已结束,还剩3页,您可下载完整版后进行离线阅读
THE END
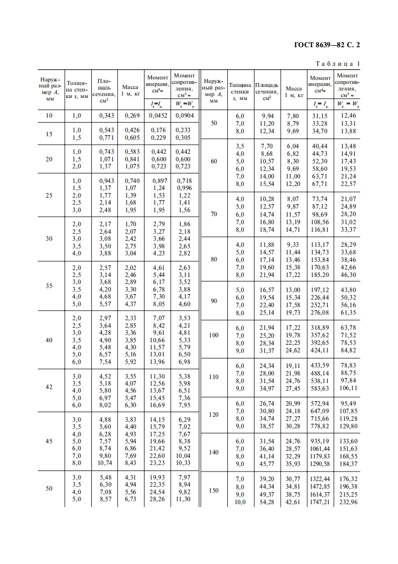
Tpynna B62M E K T O C yIA P C T B E HH BI C T A H I A P TTPYBbI CTAJIbHbIE KBAIPATHbIECopraMeHTTOCTSquare steel tubes.Range8639-820KΠ131900134400135100137300aTa BBeremHa 01.01.831.HacTosui craHnapr pacnpocTpaHseTca Ha craJbHble 6ecmoBHble ropsuenedopMnpoBaHHble HXOJOHoneoopMHpoBaHHble,9JeKTpocBapHble H 3JeKTpocBapHble XOJOHoneoopMHpoBaHHble TpyobI.(M3MeHeHHaa peaknma,M3M.No 3).2.DopMa H pa3Mepbl KBalpaTHbIx Tpy6 OJDKHbI COoTBeTCTBOBaTb yka3aHHbIM Ha ueprexe H B Ta6J1.1.RX
请登录后查看评论内容