

第1页 / 共3页

第2页 / 共3页
试读已结束,还剩1页,您可下载完整版后进行离线阅读
THE END
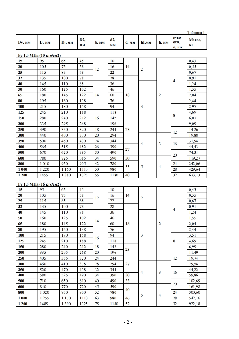
3 arJymKH中.IaHne BbleT0CT12836-67Kparkas TexHHyeckas xapakrepHcTHka:ycnoBHoe aBneHne,Py,MIla0.1H0,250,610-1.62.51,0ycnoBHblii nameTp,Dy,MM10-160010-140010-120010-80010-500TeMneparypaHe6o1ee530℃Marepnan3cm,20.09T2C,12X18H10T,15X5M10X17H13M2(3)Th15。8norB.④dbCTabHble daHueBble 3aryKH C COeHHHTEIbHEIM BbICTynOM.TIpHMep yCnoBHoro 0603HaueHHs CTabHoi onaHueBoi 3aryukH c coeHHHTeJbHLIM BLICTYnOM c Dy50 MM Ha Py 2,5MIla H3 CT.20:3ayKa50-25T0CT12836-67-1-
请登录后查看评论内容