

第1页 / 共11页

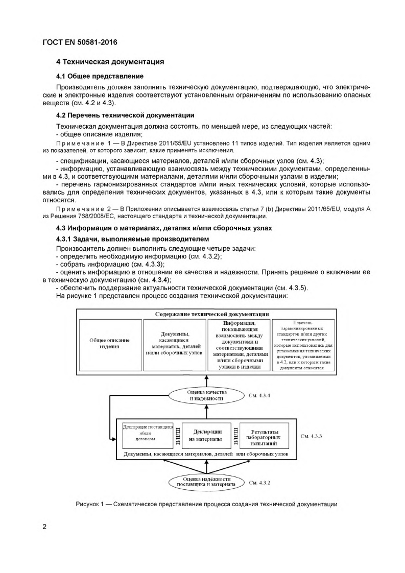
第2页 / 共11页

第3页 / 共11页

第4页 / 共11页

第5页 / 共11页
试读已结束,还剩6页,您可下载完整版后进行离线阅读
THE END
rOCyAPCTBEHHbIN CTAHDAPTf0CTEN50581-2016PEcny6nNKN BEnAPyCbTEXHNYECKAA OKyMEHTAUNA A OLEHKN3EKTPNYECKNX N 3nEKTPOHHbIX N3EnNNOTHOCNTENbHO OrPAHNYEHMA Wcnonb3OBAHNAOnACHbIX BELLECTBT3XHIYHAA AKyMEHTALbIA A AU3HKI3nEKTPbIYHbIX I 3nEKTPOHHbIX BbIPABAyA HOCHA ABMEXKABAHHA BbIKAPbICTAHHAHEBACNEYHbIX P34bIBAy(EN50581:2012,IDT)HacToRwMM rocyAapcTBeHHbIN cTaHpapT rOCT EN 50581-2016 mAermyeH EN 50581:2012 M BocnpoMsBegeHc pa3peweHMa CEN/CENELEC,Avenue Mamix 17,B-1000 Brussels.Bce npaBa no Mcnonb3oBaHnlo eBponeickxcTaHAapTOB B no6oM opMe M no6bIM cnoco6oM coxpaHaIOTCa Bo BceM MMpe 3a CEN/CENELEC M eroHaLMOHanbHbIMN yneHaMH,M MX BocnpoHsBegeHHe BO3MOXHO TONbKO npM HanHyMH nHCbMeHHoro paspeweHnACEN/CENELEC B nMue rocyAapcTBeHHoro KOMHTeTa no cTaHAapT3auMM Pecny6nMKn Benapycb.M3 gaHne o中nuManbHoe「occTaHnapTMMHCK
请登录后查看评论内容