Label-for-Alarm-Monitor-M3000

Label-for-Alarm-Monitor-M3000新质力文库 - 聚焦新质生产力发展的数字化知识库_行业洞察 / 理论成果 / 实践指南免费下载新质力文库
Label-for-Alarm-Monitor-M3000
此内容为付费资源,请付费后查看
1727
立即购买
您当前未登录!建议登陆后购买,可保存购买订单
付费资源

第1页 / 共1页
已完成全部阅读,共1
THE END
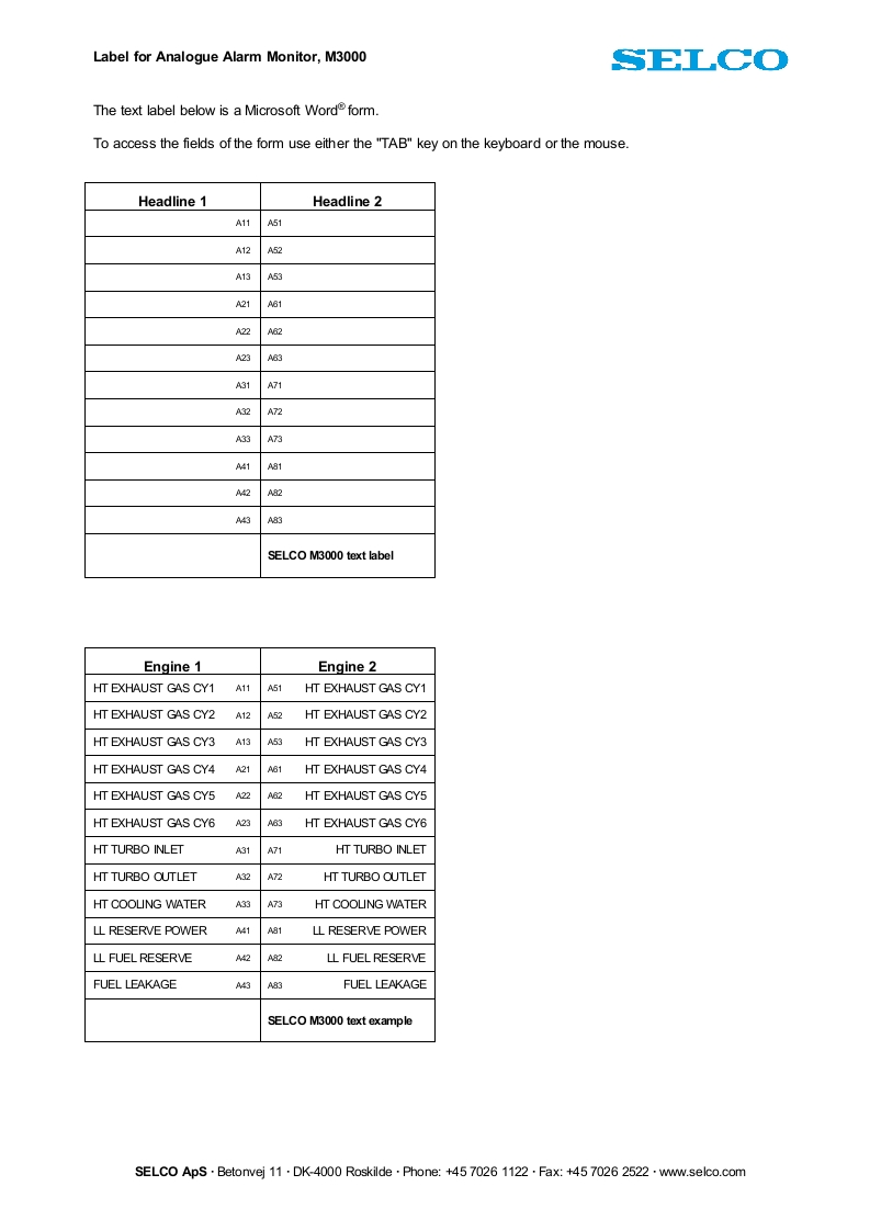
Label for Analogue Alarm Monitor,M3000SELCOThe text label below is a Microsoft Word form.To access the fields of the form use either the "TAB"key on the keyboard or the mouse.Headline 1Headline 2A11A51A12A52A13A53A21A81A22NB2A23A83A31A71A32A72A33A73A41A31A42A82A43A83SELCO M3000 text labelEngine 1Engine 2HT EXHAUST GAS CY1 A11A51 HT EXHAUST GAS CY1HT EXHAUST GAS CY2 A12A52 HT EXHAUST GAS CY2HT EXHAUST GAS CY3A13A53HT EXHAUST GAS CY3HT EXHAUST GAS CY4 A21A1HT EXHAUST GAS CY4HT EXHAUST GAS CY5 A22A62 HT EXHAUST GAS CY5HT EXHAUST GAS CY6 A23A83HT EXHAUST GAS CY6HT TURBO INLETA31A71HT TURBO INLETHT TURBO OUTLETA32A72HT TURBO OUTLETHT COOUNG WATER A33A73HT COOLING WATERLL RESERVE POWERA41A81LL RESERVE POWERLL FUEL RESERVEA42A82LL FUEL RESERVEFUEL LEAKAGEA43A83FUEL LEAKAGESELCO M3000 text exampleSELCO ApS.Betonvej 11.DK-4000 Roskilde Phone:+457026 1122-Fax:+45 7026 2522.ww.selco.com
喜欢就支持一下吧
评论 抢沙发

请登录后发表评论

    请登录后查看评论内容