

第1页 / 共88页

第2页 / 共88页

第3页 / 共88页

第4页 / 共88页

第5页 / 共88页
试读已结束,还剩83页,您可下载完整版后进行离线阅读
THE END
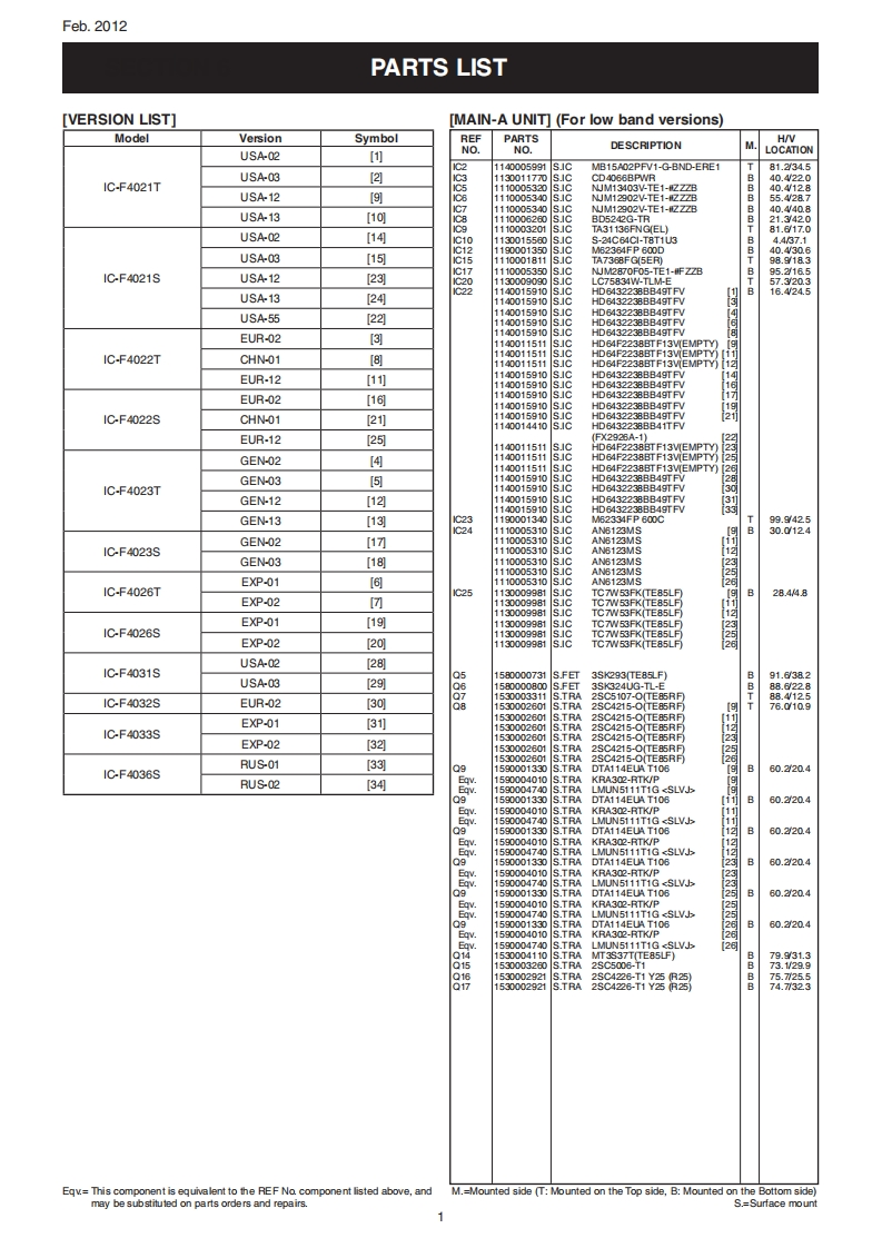
Feb.2012iCOMSERVICE MANUALADDENDUM1C-F4021F4022/F4023/F4026/S/T1C-F4031S/F4032S/F4033S/F4036SCONTENTSREPLACEMENT PAGES..·1-1and7-1PARTS LIST..............1BOARD LAYOUTS.23VOLTAGE DIAGRAM.........................25[VERSION LIST]ModelVersionFrequency(MHz)Channel spacing(kHz)KeypadUSA-02400-470 (Low band)12.5/30.0USA-03450-520(High band)1C-F4021TUSA-12400-470 (Low band)10-keyUSA-13450-520 (High band)12.5/25.0USA-02400-470 (Low band)USA-03450-520 (High band)1C-F4021SUSA-12400-470 (Low band)4-keyUSA-136.25/12.5/25.0450-520 (High band)USA-5512.5/25.0EUR-026.2512.5/20.0/25.01C-F4022TCHN-0112.5/25.010-keyEUR-12400-470 (Low band)6.25/12.5/20.0/25.0EUR-0212.5/25.01C-F4022SCHN-014-keyEUR-126.25/12.5/20.0/25.0GEN-02GEN-031C-F4023T450-520 (High band)GEN-12400-470 (Low band)10-keyGEN-13450-520 (High band)1C-F4023SGEN-02400-470 (Low band)GEN-03450-520 (High band)4-key12.5/25.0EXP-01400-470 (Low band)1C-F4026T10-keyEXP-02450-520 (High band)EXP-011C-F4026S400-470 (Low band)EXP-02450-520 (High band)1C-F4031SUSA-02400-470 (Low band)USA-03450-520(High band)1C-F4032SEUR-0212.5/20.0/25.0400-470 (Low band)4-key1C-F4033SEXP-01EXP-02450-520 (High band)12.5/25.0RUS-011C-F4036400-470 (Low band)RUS-02450-520 (High band)
请登录后查看评论内容