

第1页 / 共34页

第2页 / 共34页

第3页 / 共34页

第4页 / 共34页

第5页 / 共34页

第6页 / 共34页

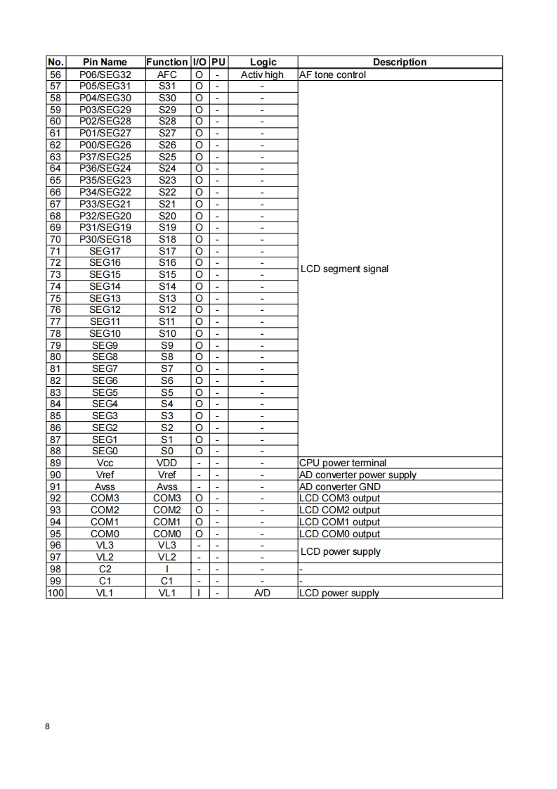
第7页 / 共34页

第8页 / 共34页

第9页 / 共34页

第10页 / 共34页
试读已结束,还剩24页,您可下载完整版后进行离线阅读
THE END
DJ-195Service ManualCONTENTSSPECIFICATIONSEXPLODED VIEW1))GENERAL.21)Front View.152)TRANSMITTER22)Rear3)RECEIVER…2PARTS LISTCIRCUIT DESCRIPTIONMAIN Unit17191)Receiver System .........3,4Mechanical Parts..202)Transmitter System......4Packing Parts.203)PLL Synthesizer Circuit....4,5ADJUSTMENT4)CPU and Peripheral Circuits......5,61)Required Test Equipment...............21,225)M3826M8L*GPXA0644).6-82)Adjustment Mode ......23-26SEMICONDUCTOR DATAPC BOARD VIEW1)NMJ2070MT1XA210)9MAIN2)AT24C16N10S-2.7TER(XA0368).93)M5222FP-600CXA0385SCHEMATIC DIAGRAM.810BLOCK DIAGRAM0400400.0294)TK14521 MTL (XA0515115)M64082 AGP (XA0543)..….126)NJM2904VTE1XA0573)127)NJM2902WTE1XA0596).128)S-81250SG-QD-T1(仪A0619)139)S-80845ALMP-EA9-T2(A0620)1310)Transistor,Diode,and LED Ontline Drawings ........1411)LCD Connection (EL0044).......14ALINCO,INC.
请登录后查看评论内容