Alinco_DR-150E_T_维修维护电器原理图手册

Alinco_DR-150E_T_维修维护电器原理图手册-找手册网
Alinco_DR-150E_T_维修维护电器原理图手册
此内容为付费资源,请付费后查看
1921
立即购买
您当前未登录!建议登陆后购买,可保存购买订单
付费资源

第1页 / 共44页

第2页 / 共44页

第3页 / 共44页

第4页 / 共44页

第5页 / 共44页

第6页 / 共44页

第7页 / 共44页

第8页 / 共44页

第9页 / 共44页

第10页 / 共44页
试读已结束,还剩34页,您可下载完整版后进行离线阅读
THE END
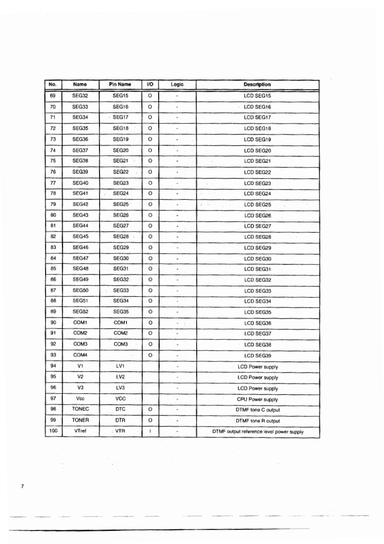
DR-150T/EService ManualCONTENTS●SPECIFICATIONS●PARTS LIST1)General....CPU Unit.20212)Transmitter......42MAIN Unit.......22-253)Receiver...VCO Unit..26●CIRCUIT DESCRIPTIONSP Unit.n261)Receiver System...,3MIC Unit......272)Transmitter System..3-4Mechanical Parts.273)PLL Circuit.4Others..284)Terminal Function of Microprocessor...........5-7Packing....285)Terminal Function of 4094.8Mic.Hanger Unit...28●SEMICONDUCTOR DATAE20u..281)AT24C08-10S-2.7-●ADJUSTMENT2)BU4094BF.91)Required Test Equ pment.....293)MB1504LPF-G-BND-TF2)Adjustment for DR-150T/E.304)NJM2902MT1).03)Adjustment Points...315)NJM7809A..114)Adjustment Quick Reference.316)RH5VA45AA-T1....●VOLTAGE TABLE7刀TA75S01f111)Transistor,FET.328)TA7806F(TE16L).4.112)Diode.....*.339)S-AV173C03310)TC35305FTP1).134)1C.nn3411)TK10930VTL.14●PC BOARD VIEW12)TC4W66FU.151)MIC Unit Side A.13)uPC1241H152)MIC Unit Side B.3514)Transistor,Diode and LED Outfine Drawings...163)VCO Unit Side A...3515)LCD Connection..174)CPU Unit Side A..36●EXPLODED VIEW5)CPU Unit Side B...361)Bottom View.-.186)MAIN Unit Side A..372)LCD View..18刀MAIN Unit Side B383)Top.Front View..19●BLOCK DIAGRAM39●CIRCUIT DIAGRAM1)MiC Unit......402)VCO Unit......413)Main Unit424)CPU Unit....445)EJ20u Unit.....45ALINCO,INC
喜欢就支持一下吧
评论 抢沙发

请登录后发表评论

    请登录后查看评论内容