

第1页 / 共111页

第2页 / 共111页

第3页 / 共111页

第4页 / 共111页

第5页 / 共111页

第6页 / 共111页

第7页 / 共111页

第8页 / 共111页

第9页 / 共111页

第10页 / 共111页
试读已结束,还剩101页,您可下载完整版后进行离线阅读
THE END
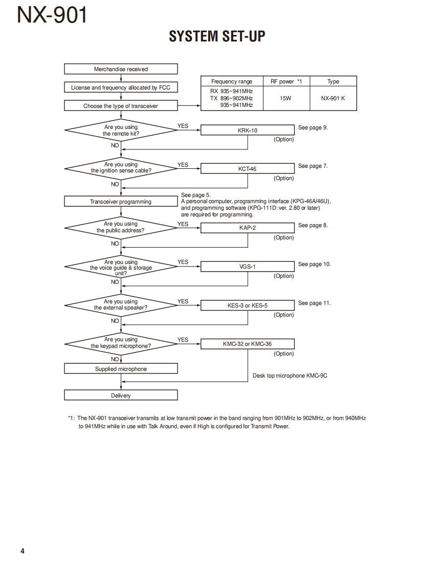
900MHz DIGITAL TRANSCEIVERNX-901KENWOODJVC KENWOOD CorporationSERVICE MANUAL2011-12 PRINTED IN JAPANB53-7003-00Y0330Metallic cabinetKey topPanel assy(A01-2194-11)K29-9401-03)(A62-1162-12)Modular jack(E58-0522-05KENWOODPacking (Phone jack)(G53-1616-03)@ACC」Packing (D-sub outer)(G53-1626-03)RF coaxial receptacle(N)(E04-0170-15DC cord (Pig tail)(E30-7520-25)CONTENTSGENERAL2ADJUSTMENT.4SYSTEM SET-UP.....4TERMINAL FUNCTION.6REALIGNMENT5PC BOARDINSTALLATION7DISPLAY UNIT(X54-3680-10).....72DISASSEMBLY FOR REPAIR..............14TX-RX UNIT(X57-8060-12)(AW2)..74CIRCUIT DESCRIPTION.........17TX-RX UNIT(X57-8060-12)(B/2)...78COMPONENTS DESCRIPTION...........23INTERCONNECTION DIAGRAM.............79PARTS LIST..26SCHEMATIC DIAGRAM80EXPLODED VIEW............39LEVEL DIAGRAM...96BLOCK DIAGRAM......98TROUBLE SHOOTING...41SPECIFICATIONS.......103LFThis product complies with the RoHS directive for the European market.This product uses Lead Free solder.
请登录后查看评论内容