

第1页 / 共106页

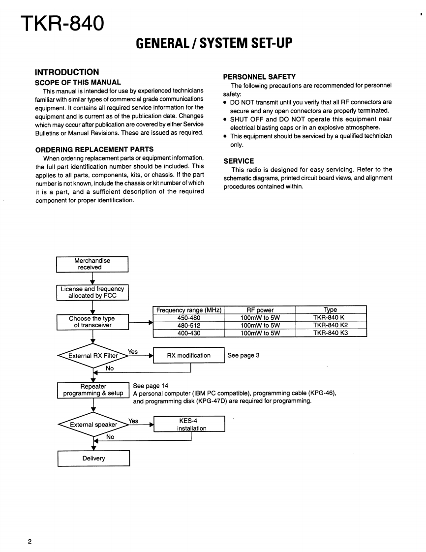
第2页 / 共106页

第3页 / 共106页

第4页 / 共106页

第5页 / 共106页

第6页 / 共106页

第7页 / 共106页

第8页 / 共106页

第9页 / 共106页

第10页 / 共106页
试读已结束,还剩96页,您可下载完整版后进行离线阅读
THE END
UHF FM REPEATERKENWOODTKR-840SERVICE MANUAL1999-11 PRINTED IN JAPANB51-8506-00(S)1534Panel(Front)LEDPUSH KNOB (TEST)(A62-0726-03)(B30-2197-05)(K29-3002-14)KENWOODLEDLED ASSYMODULAR JACK(B30-0864-05)(LA301DB)(E08-0876-05)LEDKNOB (VOL)(B30-2198-05)(K29-4539-04)CONTENTSADJUSTMENT..69SYSTEM SET-UP..2PC BOARD VIEWINSTALLATION3CONTROL UNIT(X53-3880-10).83OPERATING FEATURES4TX UNIT(X56-3050-XX).93REALIGNMENT..13RX UNIT(X55-3060-XX).105APPLICATION NOTE…15SCHEMATIC IAGRAM111CIRCUIT DESCRIPTION.24BLOCK DIAGRAM.123SEMICONDUCTOR DATA...42LEVELDIAGRAM125DESCRIPTION OF COMPONENTS..44INTERCONNECTION DIAGRAM.127PARTS LIST…46KES-4(EXTERNAL SPEAKER)..129EXPLODED VIEW.61KPG-46(PROGRAMMING INTERFACE CABLE)........130PACKING..63SPECIFICATIONS...............BACK COVERTERMINAL FUNCTION,64
请登录后查看评论内容