

第1页 / 共97页

第2页 / 共97页

第3页 / 共97页

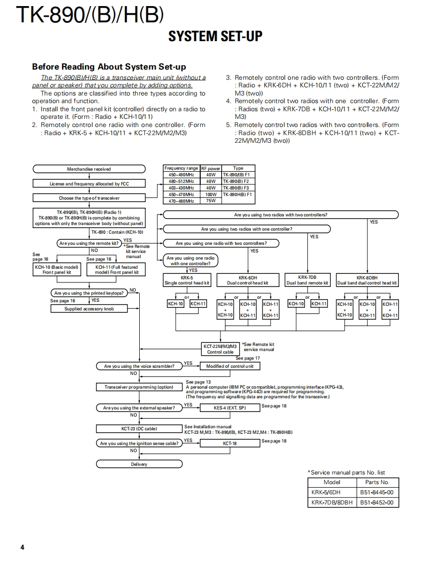
第4页 / 共97页

第5页 / 共97页

第6页 / 共97页

第7页 / 共97页

第8页 / 共97页

第9页 / 共97页

第10页 / 共97页
试读已结束,还剩87页,您可下载完整版后进行离线阅读
THE END
UHF FM TRANSCEIVERTK-890/(B)KENWOODTK-890H(B)SERVICE MANUALREVISED2001-6 PRINTED IN JAPANB51-8439-10(N)1233This service manual applies to products with 30300001 or subsequent serial numbers.(KCH-10 and KCH-11 are applicable tothe productions June 2001 and after.)In terms of the products with the serial numbers earier than 30300001,refer to the TK-890/(BVH(B)service manual as perpart No.B51-8439-00 and the TK-890(B)service manual as per part No.B51-8457-00.TK-890 or TK-890(B)with KCH-10Cabinet(Upper)Panel assy(A01-2161-02)(A62-0606-13)KENVOODEIRE CTRCabinet (Lower)Knob(A01-2162-02)(K29-4664-04)X2KCH-11KENWOODKnob(K29-4664-04)×2股22131Cabinet (Upper)TK-890H(B)(A01-2163-01)Cabinet (Lower)(A01-2164-01)
请登录后查看评论内容