Kenwood_TK-690H_B_serv维修手册含电器原理图

Kenwood_TK-690H_B_serv维修手册含电器原理图-找手册网
Kenwood_TK-690H_B_serv维修手册含电器原理图
此内容为付费资源,请付费后查看
1921
付费资源

第1页 / 共81页

第2页 / 共81页

第3页 / 共81页

第4页 / 共81页

第5页 / 共81页

第6页 / 共81页

第7页 / 共81页

第8页 / 共81页

第9页 / 共81页

第10页 / 共81页
试读已结束,还剩71页,您可下载完整版后进行离线阅读
THE END
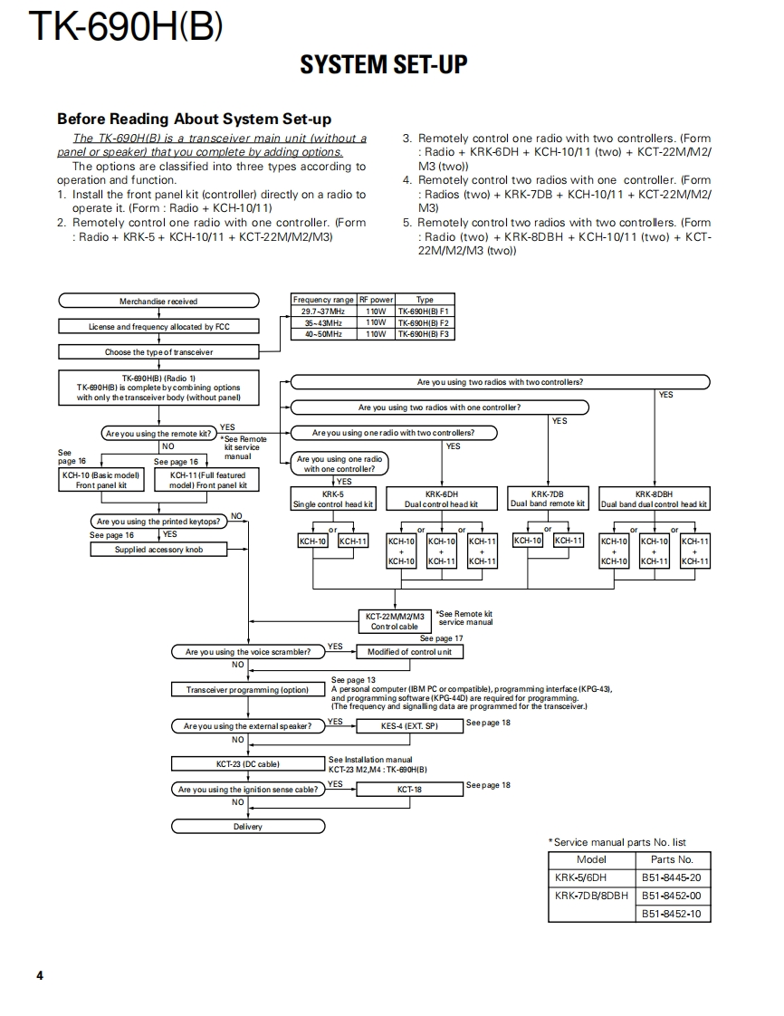
VHF FM TRANSCEIVERTK-690H(B)KENWOODSERVICE MANUALREVISED2001-7 PRINTED IN JAPANB51-8460-10(N)1031This service manual applies to products with 30500001 or subsequent serial numbers.(KCH-10 and KCH-11 are applicable tothe productions June 2001 and after.)In terms of the products with the serial numbers earier than 30500001,refer to the TK-690H(B)service manual as per partNo.B51-8460-00.TK-690H(B)a6028eCabinet(Lower)(A01-2164-01)KCH-10Panel assy(A62-0606-13)Knob(K29-4664-04)×2KCH-11EV000Panel assy(A62-0607-13)Knob(K29-4664-04)x2
喜欢就支持一下吧
评论 抢沙发

请登录后发表评论

    请登录后查看评论内容