

第1页 / 共156页

第2页 / 共156页

第3页 / 共156页

第4页 / 共156页

第5页 / 共156页

第6页 / 共156页

第7页 / 共156页

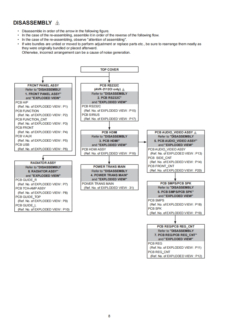
第8页 / 共156页

第9页 / 共156页

第10页 / 共156页
试读已结束,还剩146页,您可下载完整版后进行离线阅读
THE END
DENONVer.6Please refer to theMODIRCATION NOTICESERVICE MANUALMODELJPE3E2EKEAE1E1K E1CAVR-1912AVR-2112CI公INTEGRATED NETWORK AV RECEIVERFor purposes of improvement.specifications and design are subject to change without notice.Please use this service manual with referring to the operating instructions without fail.Some illustrations using in this service manual are slightly different from the actual set.DENOND&M Holdings Inc.S0436-0V06DWDG1202Copyright 2012 D&M Holdings Inc.All rights reserved.WARNING:Violators will be prosecuted to the maximum extent possible.
请登录后查看评论内容