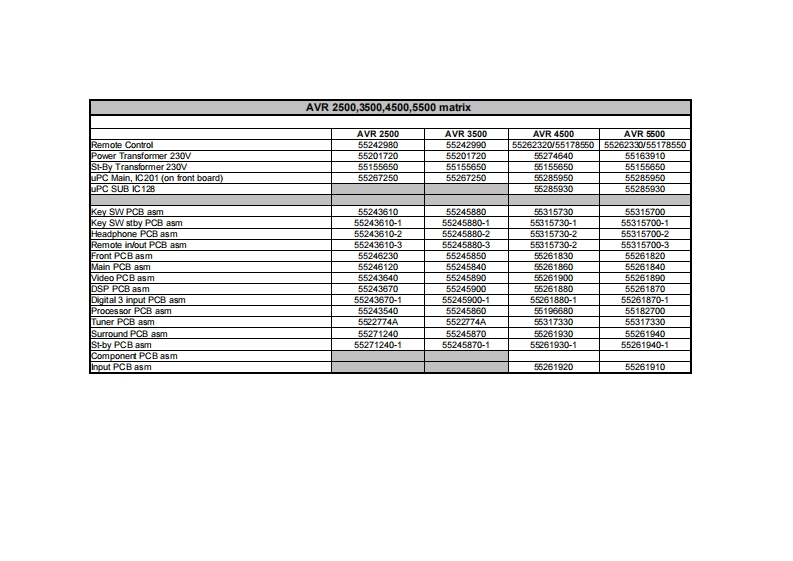
HarmanKardon-AVR2500-avr-维修说明书手册含电器原理图

HarmanKardon-AVR2500-avr-维修说明书手册含电器原理图-找手册网
HarmanKardon-AVR2500-avr-维修说明书手册含电器原理图
此内容为付费资源,请付费后查看
1921
付费资源

第1页 / 共54页

第2页 / 共54页

第3页 / 共54页

第4页 / 共54页

第5页 / 共54页

第6页 / 共54页

第7页 / 共54页

第8页 / 共54页

第9页 / 共54页

第10页 / 共54页
试读已结束,还剩44页,您可下载完整版后进行离线阅读
THE END
AVR 2500 Audio/Video ReceiverSERVICE MANUALharman/kardon AR2500图田OTI ON12 AAS·四降有1第四a的年田细三·s知澀·1·周2简可尚尚止@回⊙harman/kardonPower for the Digital Revolution.
喜欢就支持一下吧
评论 抢沙发

请登录后发表评论

    请登录后查看评论内容