HarmanKardon-HD740-cd-维修说明书手册含电器原理图

HarmanKardon-HD740-cd-维修说明书手册含电器原理图-找手册网
HarmanKardon-HD740-cd-维修说明书手册含电器原理图
此内容为付费资源,请付费后查看
1921
付费资源

第1页 / 共49页

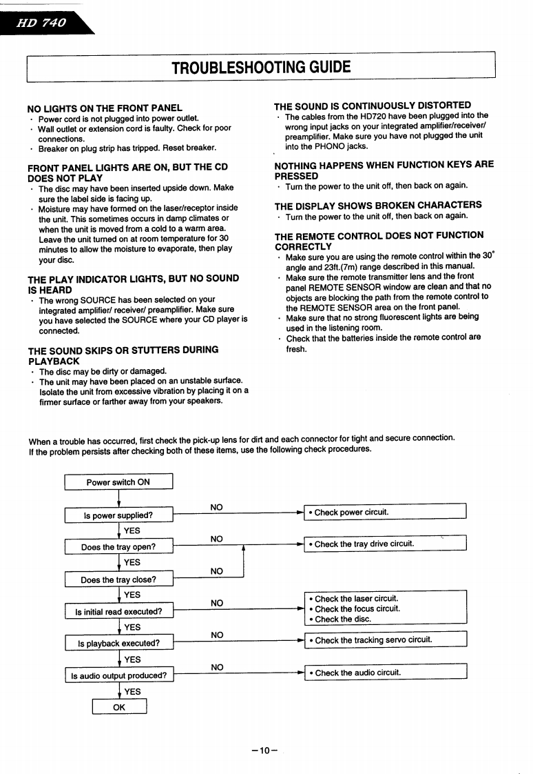
第2页 / 共49页

第3页 / 共49页

第4页 / 共49页

第5页 / 共49页

第6页 / 共49页

第7页 / 共49页

第8页 / 共49页

第9页 / 共49页

第10页 / 共49页
试读已结束,还剩39页,您可下载完整版后进行离线阅读
THE END
The harman kardonModel HD 740Manual ACOMPACT DISC PLAYERTechnical Manualharman/kardon H6234o2上14进门4同边况港O⊙⊙▣⊙⊙⊙⊙230v...............for EURCONTENTSSPECIFICATIONS…2REMOTE CONTROL SCHEMATIC DIAGRAM.......35SAFETY PRECAUTIONS…3ELECTRICAL PARTS LIST.............36CONTROLS AND FUNCTIONS...5FUNCTIONAL BLOCK DIAGRAM....40DISASSEMBLY PROCEDURES........9WIRING DIAGRAM…41POWER CORD REPLACEMENT..............9SCHEMATIC DIAGRAM…42TROUBLE SHOOTING…10PC.BOARDS…46IC TERMINAL FUNCTIONS16EXPLODED VIEW…47CIRCUIT DESCRIPTION.....20CD MECHANISM EXPLODED VIEW....48IC BLOCK DIAGRAMS…31PACKING DRAWING49harman/kardonParts and Service Office250 Crossways Park Dr.Woodbury,N.Y.117971112-HD720 0998 Printed In JAPANCEC6P20068540
喜欢就支持一下吧
评论 抢沙发

请登录后发表评论

    请登录后查看评论内容