

第1页 / 共21页

第2页 / 共21页

第3页 / 共21页

第4页 / 共21页

第5页 / 共21页

第6页 / 共21页

第7页 / 共21页

第8页 / 共21页

第9页 / 共21页

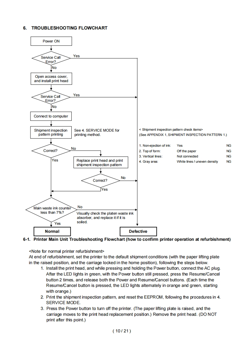
第10页 / 共21页
试读已结束,还剩11页,您可下载完整版后进行离线阅读
THE END
PIXMA iP1500SERVICEMANUALCanonCopyright 2004,Canon U.S.A.This technical publication is the proprietary and confidential information of Canon U.S.A.whichshall be retained for reference purposes by Authorized Service Facilities of Canon U.S.A.Its unauthorized useis prohibited.
请登录后查看评论内容