

第1页 / 共41页

第2页 / 共41页

第3页 / 共41页

第4页 / 共41页

第5页 / 共41页

第6页 / 共41页

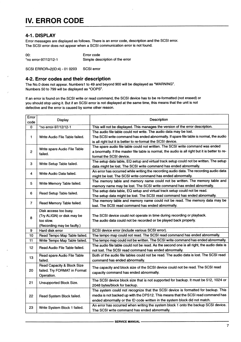
第7页 / 共41页

第8页 / 共41页

第9页 / 共41页

第10页 / 共41页
试读已结束,还剩31页,您可下载完整版后进行离线阅读
THE END
OIVED -5 JAN 2009AKAI SERUICE mAnUAL●●●●●●DIGITAL PERSONAL STUDIOMODEL DPS12OPTIONAL BOARDMODELEB2M★SPECIFICATIONSRecording media ................Internal JAZ drive (1G byte),Analog audio output .........6.3mm stereo phone jackor an external JAZ or hard disk(balanced/unbalanced connection)Sampling rate..48 kHz.44.1 kHz,32 kHzOutput levelRecording time (Using a 1 G byte JAZ disk,total recording time)MASTER OUT ...........-10 dBu (max.=5 dBu/47 k)FS=48 kHz....Approx.3 hoursAUX SEND .....-10 dBu (max.=5 dBu/47 k)(12 tracks x 15 minutes)Impedance..........1 ko (MASTER OUT)FS=44.1kHz…Approx.3 hours 16 minutes100 (AUX SEND)(12 tracks x 16.3 minutes)Stereo phone output ........6.3mm stereo phone jack x 1FS=32 kHz...Approx.4 hours 30 minutesMaximum output .......24 mW/32(12 tracks x 22.5 minutes)Digital audio input..…Optical (SPDIF)Number of simultaneousDigital audio output ........Optical (SPDIF)recording tracks...........8Foot switch .................6.3mm phone jack x 1Frequency responseSCSl…Half pitch 50-pinFS=48 kHz......10Hz-22kHz±2.0dB(for exteral hard disk)x 1FS=44.1kH2..10H2-20kH2±2.0dBDisplay248x60 dots,backlit,graphical LCDFS=32 kHz.....10Hz-15kHz±2.0dBPower supply......AC100 V,50/60 Hz for Japan AC117Quantization bit.16 bit linearV,60 Hz for U.S.A.and CanadaADC.18 bits,64-times oversampling.AC220-240 V 60 Hz for EuropeFifth order delta/sigma modulationPower consumption ......21 W(with internal JAZ drive)DAC20 bits.8-times oversampling.Operating temperature..10℃-35℃1 bit delta/sigma methodOperating humidity......10%60%(no condensation allowed)Cynamic range ..................85 dB or higher(terminalDimensions(mm).....445(W)×98(H)×334(D)(Ma×resistance1002】443.5 measured on the projection)Distortion .........0.05 or less.3 kg(standard level:1 kHz,FS 48 kHz)Channel crosstalk .........75 dB or higher (10 kHz standard,ACCESSORIESterminal resistance 100Operator's manual ...1Wow and flutter......Lower than measurable limit3 pin power cable............1 (with a two polar conversion plug)Analog audio input...........e 6.3mm stereo phone jack(balanced/unbalanced connection)OPTIONEB2M(Effect board)Input level .....................-46 dBu t4 dBu(max.+19 dBu,at 1 kHz)Impedance.........15 kFor improvement purposes,specifications and design are subject to change without notice.0dBμ=0.775V
请登录后查看评论内容