

第1页 / 共118页

第2页 / 共118页

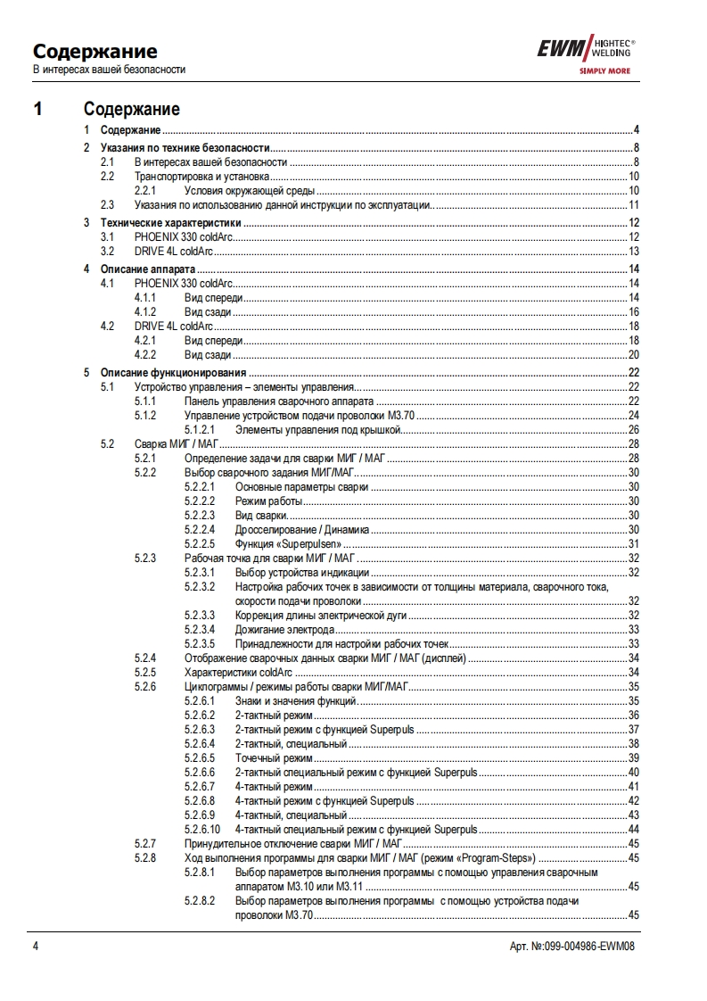
第3页 / 共118页

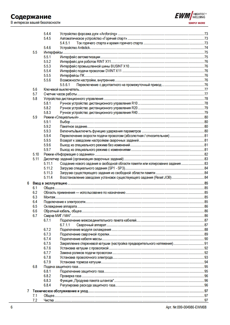
第4页 / 共118页

第5页 / 共118页

第6页 / 共118页

第7页 / 共118页

第8页 / 共118页

第9页 / 共118页

第10页 / 共118页
试读已结束,还剩108页,您可下载完整版后进行离线阅读
THE END
EWMHIGHTEC®JAHRE GARANTIRWELDINGHIGHTECWELDINGSIMPLY MORE3P R E M I U M Q U A L I T YYEARS WARRANTYEWMHIGHTEC WELDING GmbHDr.-Gunter-Henle-StraBe 8 D-56271 MundersbachPhone:+4926801810Fax:+492680181244www.ewm.de info@ewm.deRUMHcTpyKyna no 3KcnnyataynnCBapka MNr/MA n pyYHa cBapkaPHOENIX 330 coldArcPHOENIX DRIVE 4L coldArcnepeA BBOAOM B 3KcnnyaTayno o63aTenbHo npoyTTe AaHHyo HCTpyKywo no 3KcnnyaTayMn!B npoTMBHOM cnyuae BbI MoxeTe noABeprHyTbca onacHOCTM!O6cnyxnBaHme annapaTa MoryT BbinonHATb TonbKo nMua,03Ha KoMneHHble C COoTBeTCTByHOW MMM MHCTPyKMAMM noTexHnKe 6e3onacHoCTM!Ha annapaTax nMeroTc ycnoBHble 0603HayeHn,noATBepxKAarowme CooTBeTCTBMe Tpe6oBaHNAM cneAyHOwMxHopMaTWBHbIX AoKyMeHTOB EC:PekoMeHnayMa EC "Hn3KOBOnbTHa annapaTypa"(2006/95/EG)PexomeHgay EC/EMV(2004/108/EG)B cooTBeTCTBMM co cTaHAapTaMM IEC 60974,EN 60974,VDE 0544 annapaTbl MoryT 3KcnnyaTmpoBaTbca BnoMeweHNAX c noBblweHHON 3nekTpNyeckon onacHOCTbHO.CooTBeTcTByeT Tpe6oBaHMAM:TOCT 12.2.007.0-75,rOCT 12.2.007.8-75,HopMbI 8-95ME05CooTBeTCTByeT Tpe6oBaHMAM:r0cT18130-79,r0cT13821-77,f0CT12.2.007.0-75,「0cT12.2.007.8-75,HopMb18-95CA©2007MoryT BHOCNTbCA N3MeHeHNA!ApT.N№:099-004986-EWM08no cocTOHNO Ha:16.05.2007
请登录后查看评论内容