

第1页 / 共92页

第2页 / 共92页

第3页 / 共92页

第4页 / 共92页

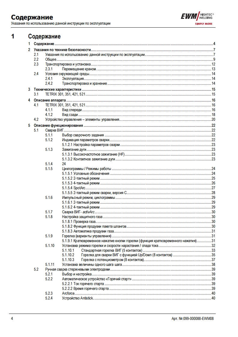
第5页 / 共92页

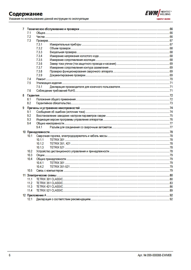
第6页 / 共92页

第7页 / 共92页

第8页 / 共92页

第9页 / 共92页

第10页 / 共92页
试读已结束,还剩82页,您可下载完整版后进行离线阅读
THE END
、在一一R、小EWMHIGHTEC®WELDINGEWMHIGHTECWELDINGSIMPLY MORESIMPLY MOREYEARS WARRANTYEWMHIGHTEC WELDING GmbHDr.Gunter-Henle-StraBe 8 D-56271 MundersbachF0n+492680181-0Fax+492680181-244www.ewm.de info@ewm.deRUPyKoBOACTBo no 3KcnnyataynnCBapoyHbin annapat n cBapkn BMr n pyyHon cBapknCTep/HeBbIMN 3neKTponaMnTETRIX 301,351,421,521 CLASSIC activArcnepeA BBOAOM B 3kcnnyaTaywo 0693aTenbHo npoyTHTe AaHHyo MHCTpyKyMo no 3kcnnyaTayMn!B npoTHBHOM cnyuae Bbl MoxeTe noABeprHyTbca onacHOCTn!O6cnyxnBaHne annapaTa MoryT BbinonHATb TonbKo nMua,03Ha KoMneHHble C COOTBeTCTByHOWMMM MHCTPyKMAMM noTexHnKe 6e3onacHocT!Ha annapaTax MMeroTc ycnoBHble 0603HayeHM,noATBepxAaroume CooTBeTCTBMe Tpe6oBaHMAM cneAyHOMxHopMaTMBHbIX AoKyMeHTOB EC:PeKoMeHAaya EC "Hn3KOBonbTHa annapaTypa"(2006/95/EG)PekoMeHgaya EC/EMV(2004/108/EG)B cooTBeTCTBMM co cTaHAapraMM IEC 60974,EN 60974,VDE 0544 annapaTbl MoryT 3KcnnyaTmpoBaTbca BnoMeweHNAX c noBblweHHON 3nekTpNyeckon onacHOCTbHO.CooTBerCTByeT Tpe6oBaHMAM:TOCT 12.2.007.0-75,rOCT 12.2.007.8-75,HopMbI 8-95MEO5CooTBeTCTByeT Tpe6oBaHMAM:「0CT18130-79,「0cT13821-77,「0CT12.2.007.0-75,「0CT12.2.007.8-75,HopMb18-95CAConepxaHne MHCTpyKuMM no 3KcnnyaTayMn He o60CHOBbIBaeT npeTeH3MM Co CToPoHbI nokynaTenABTopckne npaBa Ha 3Ty MHCTpyKuMo no 3KcnnyaTaun npMHannexaT M3rOTOBMTeno.nepeneyaTka,Aaxke B Bnge Bblnepxek,TonbKo c nMcbMeHHoro pa3peweHnA.©2009ApT.e:099-000088-EWMM08no CoCTORHNHO Ha:12.10.2009
请登录后查看评论内容