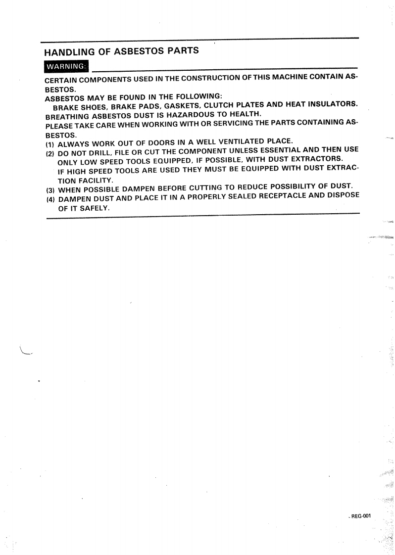
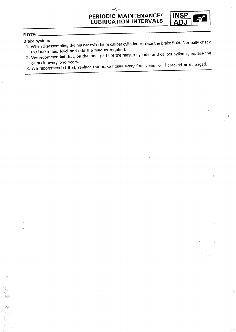
编号15:YAMAHA雅马哈摩托车XT600Z_1988_维修说明书手册

编号15:YAMAHA雅马哈摩托车XT600Z_1988_维修说明书手册-找手册网
编号15:YAMAHA雅马哈摩托车XT600Z_1988_维修说明书手册
此内容为付费资源,请付费后查看
1921
付费资源

第1页 / 共63页

第2页 / 共63页

第3页 / 共63页

第4页 / 共63页

第5页 / 共63页

第6页 / 共63页

第7页 / 共63页

第8页 / 共63页

第9页 / 共63页

第10页 / 共63页
试读已结束,还剩53页,您可下载完整版后进行离线阅读
THE END
来YAMAHAT600Z0SVIG旺INFORMATIOK
喜欢就支持一下吧
评论 抢沙发

请登录后发表评论

    请登录后查看评论内容