

第1页 / 共135页

第2页 / 共135页

第3页 / 共135页

第4页 / 共135页

第5页 / 共135页

第6页 / 共135页

第7页 / 共135页

第8页 / 共135页

第9页 / 共135页

第10页 / 共135页
试读已结束,还剩125页,您可下载完整版后进行离线阅读
THE END
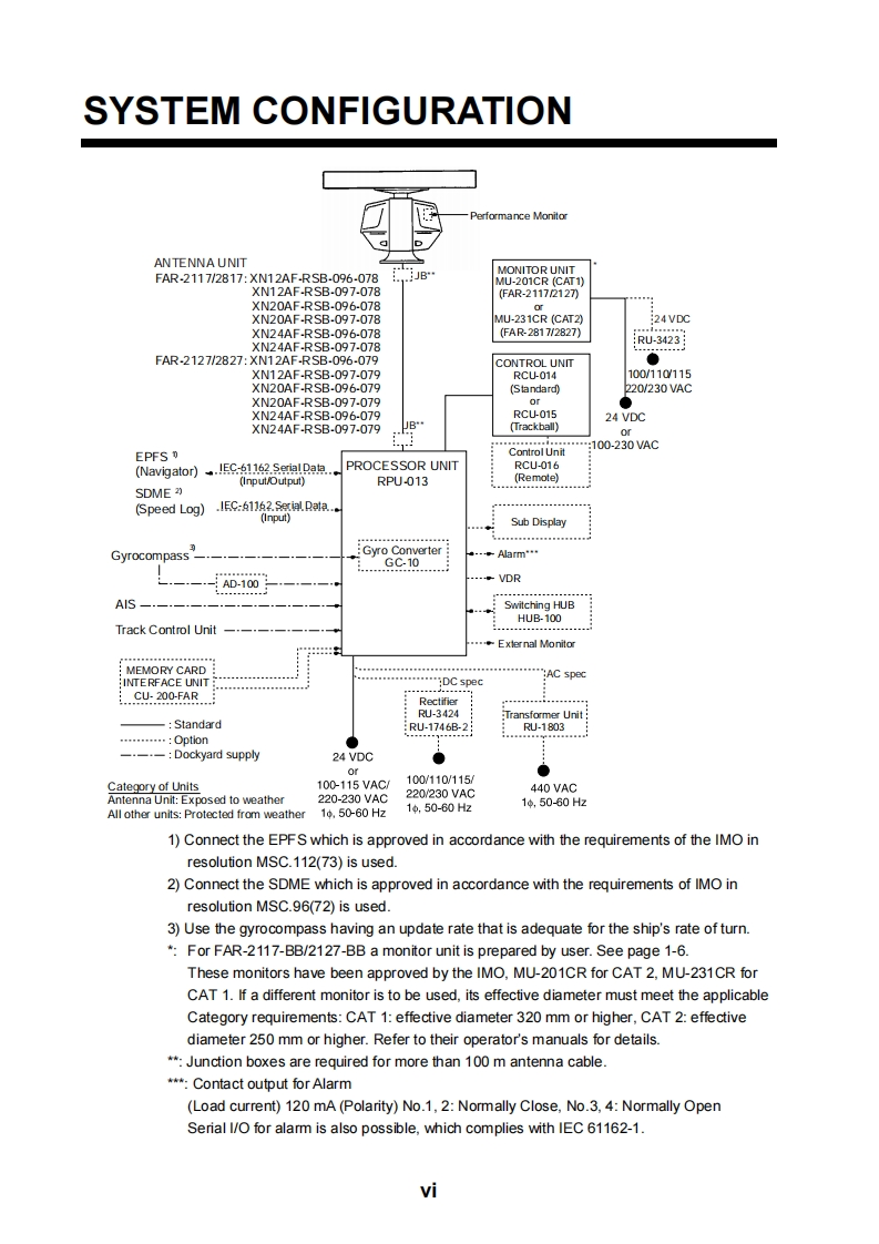
MARINE RADARARPAFAR-2117/2127/2817/2827FAR-2117-BB/2127-BBInstallation ManualComply with MSC.192(79)TABLE OF CONTENTS3.7 Dual Radar DisplaySAFETY IINSTRUCTIONS.........(non IMO-type only)................3-164.INSTALLING OPTIONALEQUIPMENT LISTSEQUIPMENT....4-1SYSTEM CONFIGURATION ...............vi4.1 Gyro Converter GC-10.................4-11.MOUNTING...1-14.2 Memory Card Interface Unit..........4-91.1 Antenna Unit......1-14.3 DVI-RGB Conversion Kit1.2 Monitor Unit.......1-6(for VDR connection)4-121.3 Control Unit..1-104.4 Performance Monitor PM-31......4-151.4 Processor Unit....1-154.5 BNC Connector Converter..........4-174.6 Junction Box.........4-182.WRING.........2-12.1 Interconnection...........2-15.INPUT/OUTPUT DATA.................5-12.2 Antenna Unit.......2-2INSTALLATION MATERIALS,2.3 Monitor Unit....…2-6ACCESSORIES,SPARE PARTS........A-12.4 Processor Unit.........272.5 Changing AC Power Specification ofOUTLINE DRAWINGS............D-1Processor Unit..2-12INTERCONNECTION DIAGRAMS ...S-13.SETTING AND ADJUSTMENT....3-13.1 DIP Switch Setting...................3-13.2 Initializing Tuning..3-23.3 Heading Alignment..3-33.4 Adjustment Sweep Timing............3-63.5 Suppressing Main Bang...................3-73.6 Other Settings.......3-8FURUNO ELECTRIC CO.,LTD.www.furuno.co.jpAll brand and product names are trademarks,registered trademarks orservice marks of their respedtive holders.
请登录后查看评论内容