

第1页 / 共64页

第2页 / 共64页

第3页 / 共64页

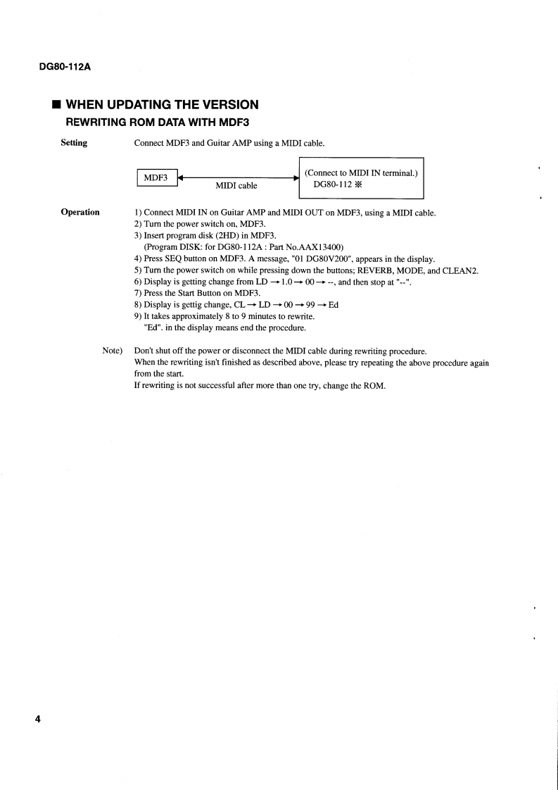
第4页 / 共64页

第5页 / 共64页

第6页 / 共64页

第7页 / 共64页

第8页 / 共64页

第9页 / 共64页

第10页 / 共64页
试读已结束,还剩54页,您可下载完整版后进行离线阅读
THE END
GUITAR AMPLIFIERDG80-1SERVICE MANUALThe DG80-112A service manual provides a listing of only thedifferences as compared with the DG80-112.For checking and repairing the DG80-112A,be sure to usethe service manual for the DG80-112 GA 011459 togetherwith this one.YAMAHAGA011499HAMAMATSU.JAPAN20000301-1480001.61K-571⑤③Printed in Japan'00.3
请登录后查看评论内容