

第1页 / 共69页

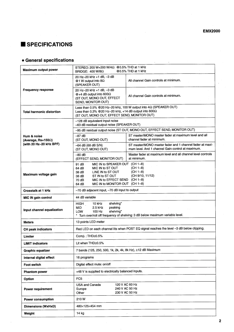
第2页 / 共69页

第3页 / 共69页

第4页 / 共69页

第5页 / 共69页

第6页 / 共69页

第7页 / 共69页

第8页 / 共69页

第9页 / 共69页

第10页 / 共69页
试读已结束,还剩59页,您可下载完整版后进行离线阅读
THE END
POWERED MIXERE火套套美SERVICE MANUAL0000:月0g行00Fǒ008888r[[88888a8■CONTENTS(目次)SPECIFICATIONS(然合仕樣)2PANEL LAYOUT(パ礻儿了ヴ卜)…CIRCUIT BOARD LAYOUT(1=y卜V才了ヴ卜)..9DIMENSIONS(寸法☒)……9BLOCK DIAGRAM LEVEL DIAGRAM(ブ口y夕&少心儿岁大了少ラ么)10DISASSEMBLY PROCEDURE(分解手順)11IC BLOCK DIAGRAM(ICブ口y夕☒)13CIRCUIT BOARDS(一卜基板☒)14INSPECTIONS(検查)…20PARTS LISTYAMAHA CORP.PA0t1386HAMAMATSU.JAPAN19971220-1280001.95K-998(DPrinted in Japan '97.12
请登录后查看评论内容