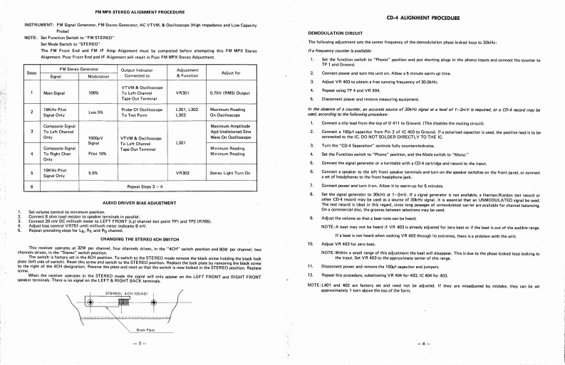
哈曼卡顿Harman-Kardon-900-维修手册找手册网16天前发布关注私信4.42MB34页024哈曼卡顿Harman-Kardon-900-维修手册此内容为付费资源,请付费后查看¥19¥21黄金会员免费钻石会员免费登录购买付费资源 第1页 / 共34页 第2页 / 共34页 第3页 / 共34页 第4页 / 共34页 第5页 / 共34页 第6页 / 共34页 第7页 / 共34页 第8页 / 共34页 第9页 / 共34页 第10页 / 共34页 试读已结束,还剩24页,您可下载完整版后进行离线阅读 THE END哈曼卡顿/飞利浦 文本预览 The Harman-KardonModel 900+AM/Stereo FMMultichannel ReceiverTechnical ManualF的294书wt网harman/kardon回回5er-fwN ovEharman/kardon 查看更多 收起部分 喜欢就支持一下吧收藏
请登录后查看评论内容