哈曼卡顿Harman-Kardon-AVR-2500-维修手册

哈曼卡顿Harman-Kardon-AVR-2500-维修手册-找手册网
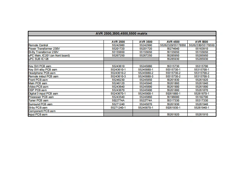
哈曼卡顿Harman-Kardon-AVR-2500-维修手册
此内容为付费资源,请付费后查看
1921
付费资源

第1页 / 共54页

第2页 / 共54页

第3页 / 共54页

第4页 / 共54页

第5页 / 共54页

第6页 / 共54页

第7页 / 共54页

第8页 / 共54页

第9页 / 共54页

第10页 / 共54页
试读已结束,还剩44页,您可下载完整版后进行离线阅读
THE END
AVR 2500 Audio/Video ReceiverSERVICE MANUALharman/kardon AR2500图田s9m0e184碱s·四降有1第四a的年田组三·s知通·1。周2简简可尚尚止@回⊙harman/kardonPower for the Digital Revolution.
喜欢就支持一下吧
评论 抢沙发

请登录后发表评论

    请登录后查看评论内容