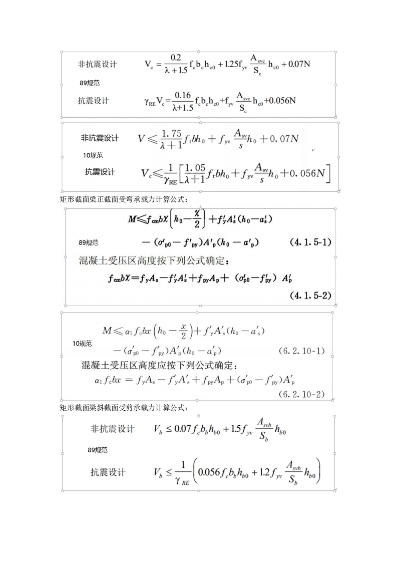
抗震鉴定标准与10规范的区别-李伟民-230511终版348072@abc4个月前发布关注私信1.59MB10页049抗震鉴定标准与10规范的区别-李伟民-230511终版此内容为付费资源,请付费后查看¥11¥18黄金会员免费钻石会员免费立即购买您当前未登录!建议登陆后购买,可保存购买订单付费资源 第1页 / 共10页 第2页 / 共10页 第3页 / 共10页 第4页 / 共10页 第5页 / 共10页 试读已结束,还剩5页,您可下载完整版后进行离线阅读 THE ENDJAVA开发Matlab仿真人工智能仪器仪表工控机电影像影音数控机床无线电毕业设计清洗设备物联网设计网站设计网络规划设计车辆音响数码 喜欢就支持一下吧收藏
请登录后查看评论内容