

第1页 / 共9页

第2页 / 共9页

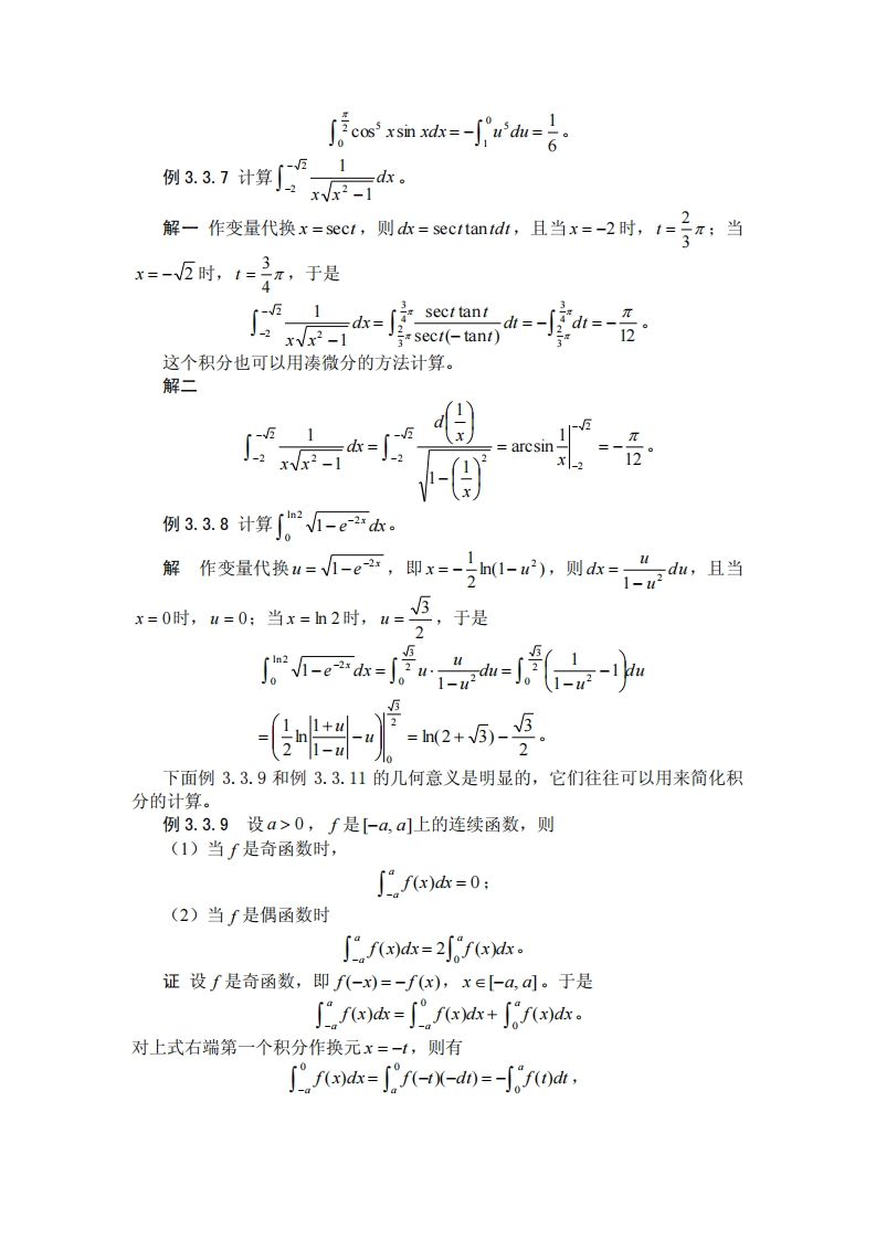
第3页 / 共9页

第4页 / 共9页

第5页 / 共9页
试读已结束,还剩4页,您可下载完整版后进行离线阅读
THE END
教案定积分的计算教学内容由Newton-Leibniz公式知道,函数的定积分等于其原函数在积分区间两端取值之差,因而为求定积分似应先算出相应的不定积分。但定积分计算的目标毕竞并非原函数而是积分的值,所以计算不定积分时常用的分部积分及变量代换等技巧在这里可以转变为直接适用于定积分计算的相应运算法则。定积分计算是微积分中的基本技术,是学生必须掌握的技能。本节主要讲解以下几方面的内容:(1)定积分的分部积分法:(2)定积分的换元积分法:(3)定积分的常用计算技巧:(4)定积分的近似计算(数值积分法)。教学思路和要求(1)定积分的分部积分法和换元积分法可以从不定积分的相应思想结合Newton-Leibniz公式得出:(2)定积分的计算有着许多特有的技巧,特别是在处理奇偶函数、周期函数和满足一定恒等关系的函数的定积分计算时,常有一些简便的方法,需特别指出,注意引导学生发挥主动意识,举一反三:(3)注意在讲授数值积分时强调背景思想,并指出误差估计。教学安排一,分部积分法定理3.3.1设函数u,v在[a,b)上具有连续导数,则∫uexr'e)c=xx北-∫xu(x)d,或∫uxh(ex)=uxr(ax北-∫xdx)。只要把Newton-Leibniz公式和不定积分的分部积分法相结合,便可得上述定积分的分部积分公式。例3.3.1求由曲线y=xsnx(0≤x≤π)和x轴围成的区域的面积A。解由定积分的几何意义知,A=0 xsinxd=-J。xdcosx0--xcos+fcoxd:30=π+sin6=π。
请登录后查看评论内容