复旦大学数学科学院2012~2013学年第学期期末考试试卷答案

复旦大学数学科学院2012~2013学年第学期期末考试试卷答案新质力文库 - 聚焦新质生产力发展的数字化知识库_行业洞察 / 理论成果 / 实践指南免费下载新质力文库
复旦大学数学科学院2012~2013学年第学期期末考试试卷答案
此内容为付费资源,请付费后查看
919
立即购买
您当前未登录!建议登陆后购买,可保存购买订单
付费资源

第1页 / 共3页

第2页 / 共3页

第3页 / 共3页
已完成全部阅读,共3
THE END
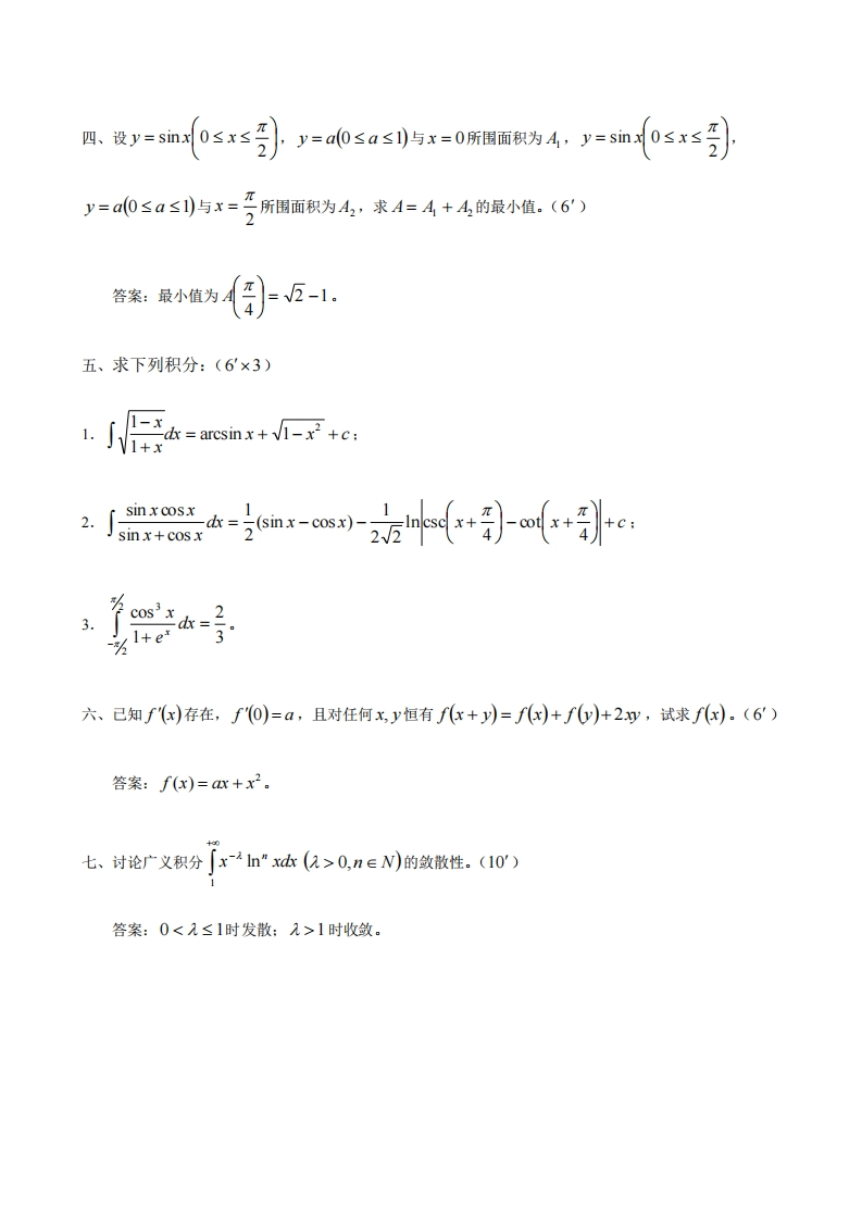
复旦大学数学科学学院2012~2013学年第一学期期末考试试卷□A卷答案课程名称:高等数学课程代码:MATH120005.04开课院系:法医学、医学试验班、临床医学(八年制)考试形式:闭卷姓名:学号:专业:题号12345678910总分得分一、求下列极限:(6×3)1.lim-F-11+c0s72.lim0=0:x→0sin t'dttan(sin x)-sin(tanx)=0.3.lim→0二、已知2f)+6)=,且f)可导,求.(6)d答案:y=2x-yf()-fy2f(x)+f'(y)三、设f"(tanx+l)=cos2x+sec2x,且f=4,求f(x)。(6')答案:f)=atam6x-)+x+片x-l广+3.
喜欢就支持一下吧
评论 抢沙发

请登录后发表评论

    请登录后查看评论内容