复旦大学数学科学院2015~2016学年第学期期末考试试卷(I)》试题答案《高等数学C

复旦大学数学科学院2015~2016学年第学期期末考试试卷(I)》试题答案《高等数学C新质力文库 - 聚焦新质生产力发展的数字化知识库_行业洞察 / 理论成果 / 实践指南免费下载新质力文库
复旦大学数学科学院2015~2016学年第学期期末考试试卷(I)》试题答案《高等数学C
此内容为付费资源,请付费后查看
919
立即购买
您当前未登录!建议登陆后购买,可保存购买订单
付费资源

第1页 / 共2页

第2页 / 共2页
已完成全部阅读,共2
THE END
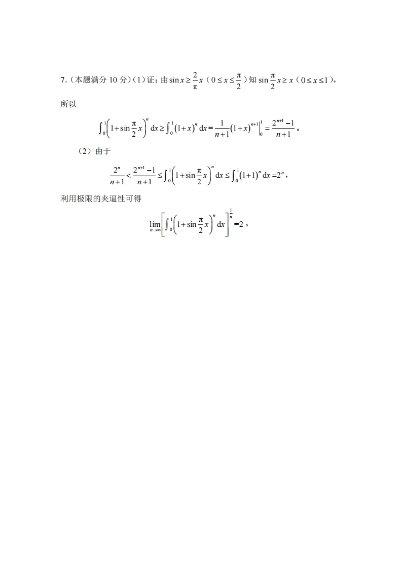
复旦大学数学科学学院2015~2016学年第一学期期末考试试卷《高等数学C(I)》试题答案1.(本题满分40分,每小题5分)()a=-:(2)±6:(3)5(4)在(-l,e-1]上单调减少,在[e1-l,+o)上单调增加:f(e-1)=-e为极小值:14833212.(本题满分10分)3个。装订3.(本题满分10分)底面半径和高均为,厂线内4.(本题满分10分)A=2,B=1,C=不4⊙要5.(本题满分10分)证:作函数答题31则当x∈(-1,+o)时,f'(x)=-1+x-x2+x31+x-1-x0+2)=1=0-rX1+)1+x1+x>01+x这说明函数f在[0,+∞)上严格单调增加,从而当x>0时,f(x)>f(0)=0,即6.(本题满分10分)(1)f(x)=28x6+cx(c为任意常数):(2)无拐点:(3)不存在。
喜欢就支持一下吧
评论 抢沙发

请登录后发表评论

    请登录后查看评论内容