常用钢材理论重量表

常用钢材理论重量表新质力文库 - 聚焦新质生产力发展的数字化知识库_行业洞察 / 理论成果 / 实践指南免费下载新质力文库
常用钢材理论重量表
此内容为付费资源,请付费后查看
1424
立即购买
您当前未登录!建议登陆后购买,可保存购买订单
付费资源

第1页 / 共2页

第2页 / 共2页
已完成全部阅读,共2
THE END
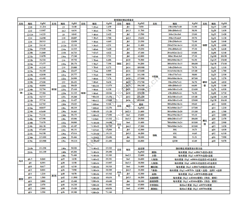
意用围理论重量表格名欧域格KaM名规格Kz/M名线格Kz/2缓格Kz/M名规格Ka/M工011216540L254149I75010x507xl031.90Dtls120工213.9871636634L3041涵Ls11.802000081250.50De201530工2614223805L4042A22215700248xl24582580D:252430工416890110000可L053002519屈0250l256929.70Dt323.130工620.5311220L到64465323.550202509x147240D:403840工24.1012623区L5542543140025025514148220解管D:9480工2027.929【4a4535L0654D539250294108x25730D:76540工2310分I466JL国54822647.10029402x12x128500D:808340工233070【l6a720L因6572486200300106.593730D:loo1080工24365241169J望L706640s-107890030030010159450D:l255D0工2374刀因a20174L07738钢板12943103003051515I0600Dyl9780工20412451823000L0883314109900302509x479.70DelsL.30工23810611a226刀L756690s1625600344348101615mD:2L.700工2年4203012a2517L7589030184130030x17s7x115000Dt252.530H座钢工2,43492122a2499用L06737%2057000390300101610700D:32320工2是478图122L0896级22人72.7039%x9%7x115670被锌D:40400工30480841246306丛L8x1011874259%3004003108x36600管D:95100工字工352.794情钢125aL90683028219800440300x11xl☒2400D:76930钢T3057504125L3引335角钢L9081096人302B55004903009x147650D:80器70工352.77I25e352090xl01347632251200482300x1川x5150D:loo1L340工357.740【sa3引AD90x121590362s260088300x11×区2900Dals因60工3462.765【2s6358四L00693伍N规格菱形0020010168950208图名称T36600打Ie4029L100.81227%KaA280012x1737004L20工3生656图130%344图L100x01512D8-2521800830012205L00461.50工3在7L34130地粉13L100x121789题8-3250096d99%101s9s108200m工406759图13e408%L1I0813532&-3529.①000200xIx7I060020240蝶议工4738832a3数图L10x016690&m4334002003001324850022.90花效钢工4080.1型132401WL10×219724.53730070030013241因5002538幻工498748532e轻13引L25815504人342.30038K3煜32器4830工49450136a84L1250191855463004阳K4465的263011三10836bL125x22269%65s0.00解轨9OK5L161.990工5623.900136e59.118L14x10214图&-86600QL8O63用40980工6312图10a8928L10x22552名称规格鼻豆形朋材理论重量慎琴计草方法T63e4L.1910地65204L140x429490Ka/M2蓝服E每米重量区:】-062x直径x直径【0e14图L10x6333图-252200方管:每米重量K,)■085边宽边宽的505025380L10x229391&-326800六角图:每米重量K)006x对边直径时边直径80.39530550L10x4339883530.900八角丽:每米重量区)-006对边直径时边直径0067议630L10x6385图&m434400气这报:每米重量K:】-006d0直径d0直径20图83新7990L10x43054338300·角图:每米重量Kg),m85(边宽+边宽.边厚)边厚喇4花纹1210◆098刀L180x1643542板542300低钢良钢:每米重量Kg)■00及5厚皮边夜61.到0望1L.990L10x☒48634Fss46310钢无健相管:每米重量区,)■266来×《(外经来厚)】48200052A40L200x164860650.l00接缝钢管:每米重量Kg)■2畅6壁厚x(外经壁厚)202400松1420L-200x1区5440N&-86500中厚钢板:每米m2重量Kg)-0085厚度222.5015A3DL-203060D务-86500辣钢板:每米m2重量区g)■00786厚度243.509300L-20024711图
喜欢就支持一下吧
评论 抢沙发

请登录后发表评论

    请登录后查看评论内容