

第1页 / 共135页

第2页 / 共135页

第3页 / 共135页

第4页 / 共135页

第5页 / 共135页

第6页 / 共135页

第7页 / 共135页

第8页 / 共135页

第9页 / 共135页

第10页 / 共135页
试读已结束,还剩125页,您可下载完整版后进行离线阅读
THE END
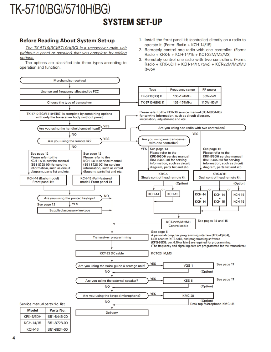
VHF P25 TRANSCEIVERTK-5710(BG)KENWOODTK-5710H(BG)Kenwood CorporationSERVICE MANUAL2010-3 PRINTED IN JAPANB51-8912-00(N)Use this service manual together with the KCH-14/15 servicemanual (B51-8728-00)or KCH-16 service manual (B51-8834-00).As for the hardware of this transceiver,version 3 is used.The programming software must use KPG-95DG.TK-5710(BG)with KCH-14Metallic cabinet (Top)KCH-14(A01-2161-32)(Front panel kit)留回▣▣▣回TK-5710H(BG)Metallic cabinet(Top】(A01-2163-21)Metallic cabinet (Bottom)(A01-2164-31)LFThis product complies with the RoHS directive for the European market.This product uses Lead Free solder.
请登录后查看评论内容