

第1页 / 共137页

第2页 / 共137页

第3页 / 共137页

第4页 / 共137页

第5页 / 共137页

第6页 / 共137页

第7页 / 共137页

第8页 / 共137页

第9页 / 共137页

第10页 / 共137页
试读已结束,还剩127页,您可下载完整版后进行离线阅读
THE END
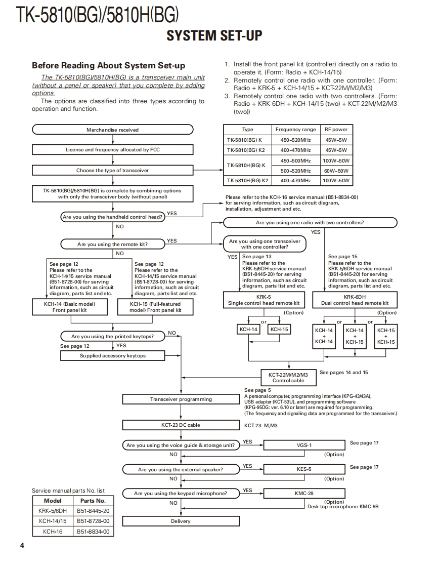
UHF P25 TRANSCEIVERTK-5810(BG)KENWOODTK-5810H(BG)Kenwood CorporationSERVICE MANUAL2010-3 PRINTED IN JAPANB51-8913-00(N)Use this service manual together with the KCH-14/15 servicemanual (B51-8728-00)or KCH-16 service manual (B51-8834-00).As for the hardware of this transceiver,version 3 is used.The programming software must use KPG-95DG.TK-5810(BG)with KCH-14Metallic cabinet(Top)KCH-14(A01-2161.32)(Front panel kit)000AAAAAA▣▣▣▣▣TK-5810H(BG)Metallic cabinet (Top)(A01-2163-21)Metallic cabinet (Bottom)A01-2164-31)LFThis product complies with the RoHS directive for the European market.This product uses Lead Free solder.
请登录后查看评论内容