

第1页 / 共41页

第2页 / 共41页

第3页 / 共41页

第4页 / 共41页

第5页 / 共41页

第6页 / 共41页

第7页 / 共41页

第8页 / 共41页

第9页 / 共41页

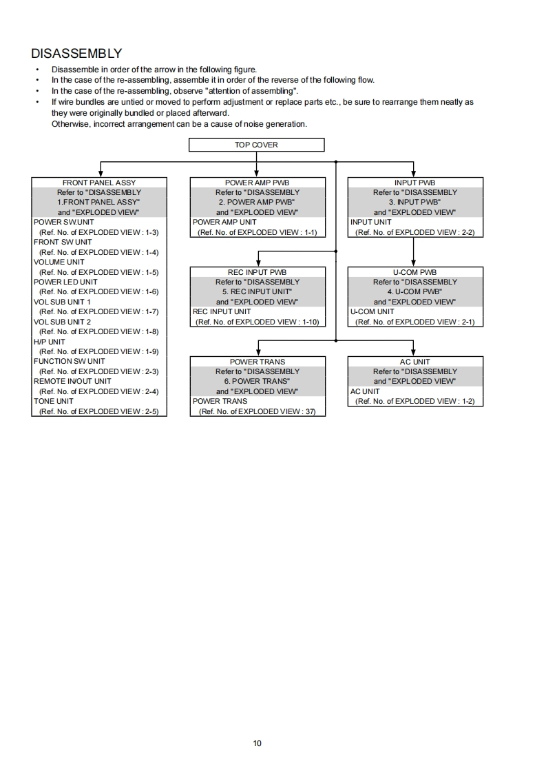
第10页 / 共41页
试读已结束,还剩31页,您可下载完整版后进行离线阅读
THE END
DENONVer.5Please refer to theMODIFICATION NOTICE.SERVICE MANUALMODELJPE3E2EKEAE1CE1KPMA-1520AEINTEGRATED AMPLIFIERFor purposes of improvement,specifications and design are subject to change without notice.Please use this service manual with referring to the operating instructions without fail.Some illustrations using in this service manual are slightly different from the actual set.DENON
请登录后查看评论内容