

第1页 / 共59页

第2页 / 共59页

第3页 / 共59页

第4页 / 共59页

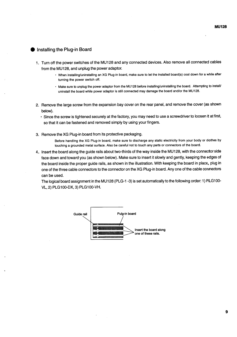
第5页 / 共59页

第6页 / 共59页

第7页 / 共59页

第8页 / 共59页

第9页 / 共59页

第10页 / 共59页
试读已结束,还剩49页,您可下载完整版后进行离线阅读
THE END
YAWU-02596TONE GENERATORI己三SERVICE MANUAL■CONTENTSPANEL LAYOUT.3SPECIFICATIONS..........4CIRCUIT BOARD LAYOUT...................6WIRING BLOCK DIAGRAM.....7DISASSEMBLY PROCEDURE8CIRCUIT BOARDS.......11LSI PIN DESCRIPTION...........13IC BLOCK DIAGRAM..........15TEST PROGRAM....................18INITIALIZE.26ERROR MESSAGES...................28CONNECTING CABLES.......29MIDI IMPLEMENTATION CHART ......30PARTS LISTOVERALL CIRCUIT DIAGRAMSY011451YAMAHAHAMAMATSU.JAPAN0.32K-5351 1 Printed in Japan'98.12
请登录后查看评论内容