

第1页 / 共42页

第2页 / 共42页

第3页 / 共42页

第4页 / 共42页

第5页 / 共42页

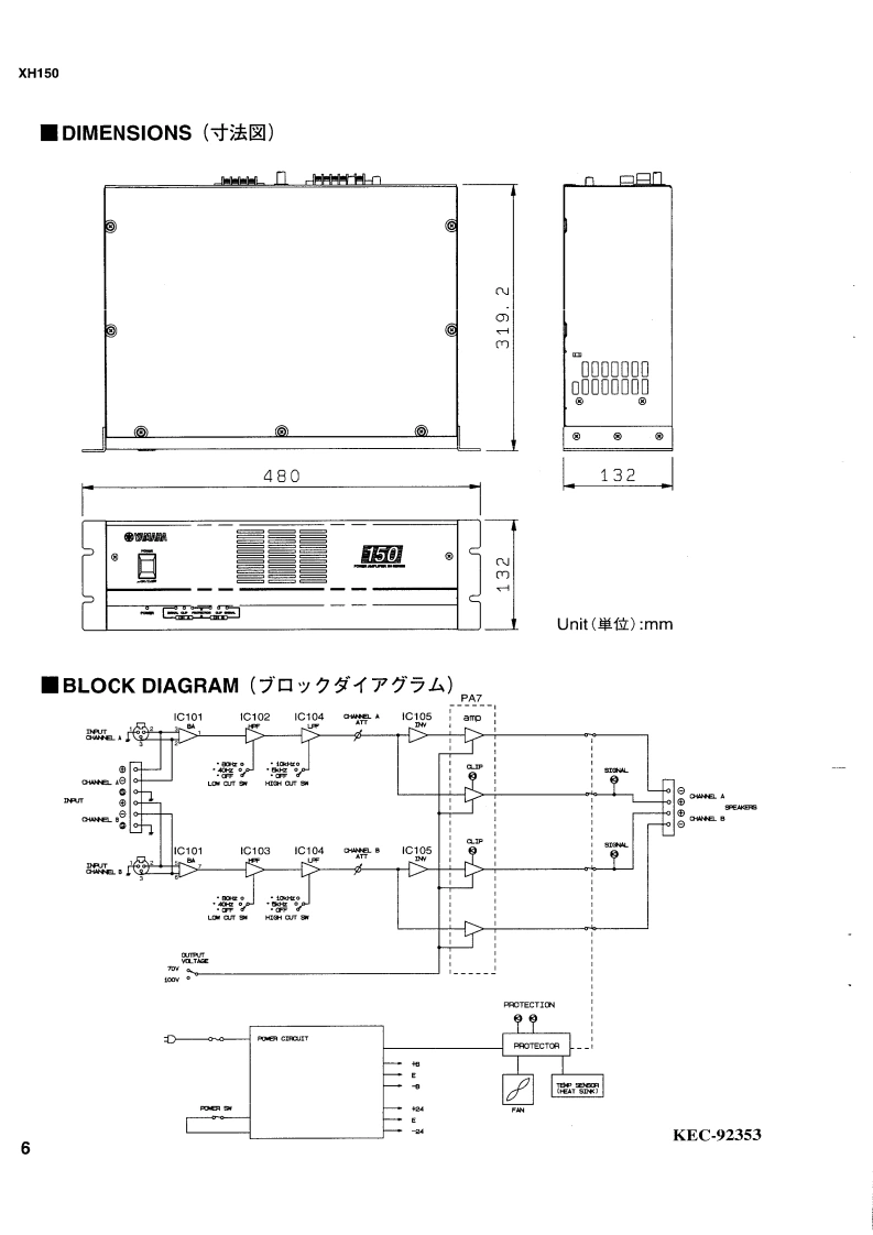
第6页 / 共42页

第7页 / 共42页

第8页 / 共42页

第9页 / 共42页

第10页 / 共42页
试读已结束,还剩32页,您可下载完整版后进行离线阅读
THE END
POWER AMPLIFIERXH150SERVICE MANUALYAMAHA50用品■CONTENTS(目次)SPECIFICATIONS(稔合仕模)3/4PANEL LAYOUT(U礻LT外)........5DIMENS引ONS(寸法☒).....6BLOCK DIAGRAM(口y7ダ1T574).......6CIRCUIT BOARD LAYOUT&WRING(基板結線☒),7DISASSEMBLY PROCEDURE(分解手順)..8IC BLOCK DIAGRAM(IC口y7☒)..12CIRCUIT BOARDS(>-卜基板)...…13INSPECTIONS(検查)15/17PARTS LIST米YAMAHAPA011441HAMAMATSU JAPAN19990210-1400001.92K-173 Printed in Japan '99.2
请登录后查看评论内容