

第1页 / 共36页

第2页 / 共36页

第3页 / 共36页

第4页 / 共36页

第5页 / 共36页

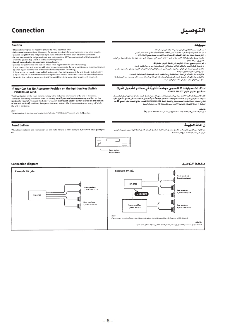
第6页 / 共36页

第7页 / 共36页

第8页 / 共36页

第9页 / 共36页

第10页 / 共36页
试读已结束,还剩26页,您可下载完整版后进行离线阅读
THE END
XR-3750SERVICE MANUALSaudi Arabia ModelModel Name Using Similar MechanismXR-4800Tape Transport Mechanism TypeMG-25F.136SPECIFICATIONSCassette player sectionGeneralTape track4-track 2-channel stereoOutputsPower antenna controlWow and flutter0.08%WRMS)lead/Power amplifierFrequency response30-18,000Hzcontrol lead/TeiephoneSignal-to-noise ratio58 dBmute control leadRear line out1】Tuner sectionTone controlsBa55±8dBat100HzFMTreble±8dBat10kHz875-108.0MHzPower requirements12 V DC car batteryTuning rangeAntenna terminalExternal antenna connector(negative ground)DimensionsApprox.188×58×182Intermediate frequency10.7 MHzmm (w/h/d)Usable sensitivity9 dBfSelectivitv75 dB at 400 kHzMounting dimensionsAPpr0x.18253×164mmw/h/d》Signal-to-noise ratio65 dB (stereo).Mass68 dB (mono)Supplied accessoriesAi on andHarmonic distortion at kHz0.7%3 tereo】connections (1 set)0.4%(mono】Front panel case (1)Separation35 dB at 1 kHzFrequency response30-15,000HzDesign and specifientions are subject to chonge toithoutMWnotice.Tuning range531-1.602kHzAntenna terminalExternal antenna connectorIntermediate frequency10.71MHz/450kHzSensitivity30 uVSTuning rangeSW tuning interval:SW1:2.940-7.735kHzSW2:9.500-18.135kHz(except for 10,140-11575kHz)Antenna terminaExternal antenna connectoIntermediate frequency10.71MH2/450kHzSensitivity30 uVPower amplifier sectionOutputsSpeaker outputs(sure seal connectors)Spcaker impedance4-8 ohmsFM/MW/SW CASSETTE CAR STEREOMaximum power output 35 W x 4 (at 4 ohms)■MICROFILMSONY
请登录后查看评论内容