

第1页 / 共6页

第2页 / 共6页

第3页 / 共6页

第4页 / 共6页

第5页 / 共6页
试读已结束,还剩1页,您可下载完整版后进行离线阅读
THE END
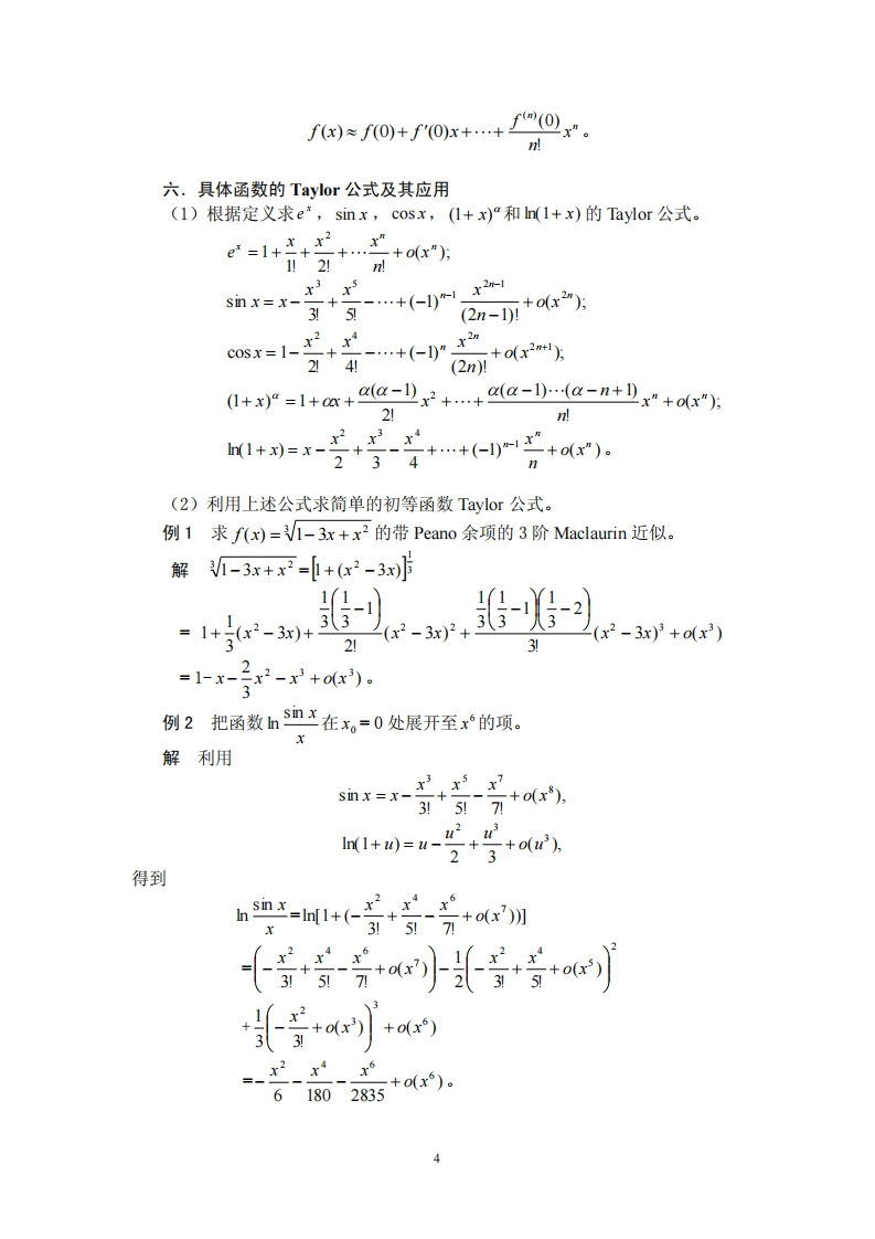
一元函数的Taylor公式教学内容用简单的函数近似表示较复杂的函数是一种经常使用的数学方法,Taylor公式提供了用多项式逼近函数的一条途径,是微积分的重要工具之一,也是后继课程“函数的幂级数展开”一节的基础,它们在理论上和应用中都起着重要的作用。在这节中主要讲解以下几方面的内容:(1)带Peano余项的Taylor公式和带Lagrange余项的Taylor公式:(2)Maclaurin公式;(3)具体函数的Taylor展开方法和用Taylor公式作近似计算的方法。教学思路和要求(1)Taylor公式是一元微分学学习中的一个难点,初学者往往对于其“复杂”形式产生畏惧,因而对这部分的内容只是死记硬背,不能达到深刻领会的效果。因此要讲清楚这个问题的来龙去脉,使学生能从形式上的公式看清它的本质,进而提高其领会能力。(2)Taylor公式与基本初等函数e,,sinx,cosx,(I+x)“和h(1+x)等的Taylor公式是本节内容的基础和重点。(3)虽然一些基本初等函数的Taylor公式是从定义直接推导出来的,但一般来说直接利用定义计算具体函数的Taylor公式往往很不方便,因此有必要向学生介绍一些方便而实用的计算方法,提高他们的计算能力。(4)对于具体函数的Taylor公式的计算到多少阶,学生们往往只能根据习题要求来做,但在实际应用中,计算一个函数的Taylor公式到多少阶是要灵活掌握的。因此有必要在讲Taylor公式的应用时,在这方面加以适当引导,发挥他们的主观能动性。教学安排一.问题的引入我们已经知道,如果f在x。处可微,那末在x。邻近就有f(x)=f(xo)+f(xo)(x-xo)+o(kx-xoD).这意味着当我们用一次多项式f(xo)+f'(xo)(x-x)近似代替f(x)时,其精确度对于x-x而言,只达到一阶,即误差为o-xD。为了提高精确度,必须考虑用更高次数的多项式作逼近。由于多项式是一类比较简单的函数,借助于近似多项式研究函数的性态无疑会带来很大的方便。而且,在实际计算中,由于多项式只涉及加、减、乘三种运算,以它取代复杂的函数作运算也将有效地节约工作量。二.问题的探索我们的讨论从下面的问题开始:设函数f在x。处n阶可微,试找出一个关于x-x,的n次多项式,ao+a(-xo)+...+a (-x)",
请登录后查看评论内容