复旦大学数学科学院第二学期期末考试2012~2013学年A卷参考答案高数B(下

复旦大学数学科学院第二学期期末考试2012~2013学年A卷参考答案高数B(下新质力文库 - 聚焦新质生产力发展的数字化知识库_行业洞察 / 理论成果 / 实践指南免费下载新质力文库
复旦大学数学科学院第二学期期末考试2012~2013学年A卷参考答案高数B(下
此内容为付费资源,请付费后查看
919
立即购买
您当前未登录!建议登陆后购买,可保存购买订单
付费资源

第1页 / 共2页

第2页 / 共2页
已完成全部阅读,共2
THE END
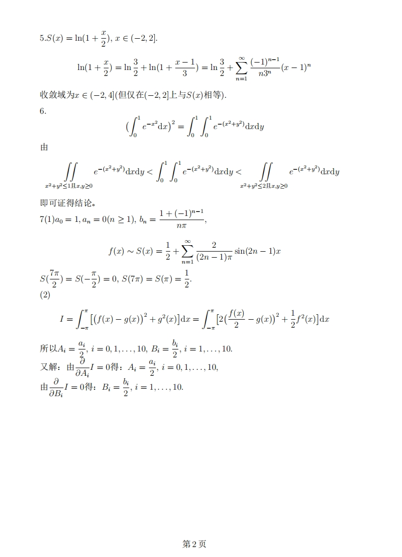
复旦大学数学科学学院2012~2013学年第二学期期末考试■高数B(下)A卷参考答案1.(1)2z(1,1)=32(1,1)=-4.-x+2y+2z-3=0(2)162x-3y+5z-4=0(3)2m.(4)π.-1.(6)2小时。2.显然最大值可在0≤x及y≤0且x-y≤1时取到.由z红=y=0可解得:x=y=0,2(0,0)=0:由x=0:之=y2,y=-1时z取最大值1由y=0:之=x2,x=1时z取最大值1:由y=x-1,x∈[0,1:z=x2-x+1,x=1时z取最大值1;所以之的最大值为1,3.因为imo@)-fo)-f"oe=f02所以3%>0n>o:f分)-f0-fo月<"O+1,因而:n2(1)f(0)≠0时,级数发散:(2)f(0)=0,f'(0)≠0时,级数条件收敛:(③)f(0)=(0)=0时,级数绝对收敛。4.记r=√x2+y2,则ax=2xf(r2)+2xr2f'((r2),zr=2f(r2)+[2r2+8x21f(r2)+4x2r2f"(r2),同理:2yg=2f(2)+22+8g21f'(2)+422f"(2),所以:2r+2y=4f(2)+12r2f'(2)+44f"(r2)=0.记y(t)=f(e),则:”+2+y=0,y=(C+C2t)e-t.所以:f回=C+C血工,代入初始条件得:f)=马x2第1页
喜欢就支持一下吧
评论 抢沙发

请登录后发表评论

    请登录后查看评论内容